SL Paper 3
The process of converting heat to electricity is limited by its thermal (Carnot) efficiency.
\({\text{Thermal efficiency}} = \frac{{{\text{temp. of steam at source (K) }}-{\text{ temp. heat sink (K)}}}}{{{\text{temp. of steam at source (K)}}}} \times 100\)
Calculate the thermal efficiency of a steam turbine supplied with steam at 540°C and using a river as the choice of sink at 23 °C.
Power plants generating electricity by burning coal to boil water operate at approximately 35% efficiency.
State what this means and suggest why it is lower than the thermal efficiency.
Markscheme
«\(\frac{{813{\text{K}} - 296{\text{K}}}}{{813{\text{K}}}}\) × 100» = 64 «%»
[1 mark]
35% of chemical/potential energy available in coal is transformed to electricity/electrical energy
not all chemical energy from burning fuel transferred into heating water
OR
energy dispersed elsewhere/energy lost due to friction of moving parts
OR
heat loss to the surroundings
Accept “stored energy” for “potential energy”.
[2 marks]
Examiners report
Chemical energy from redox reactions can be used as a portable source of electrical energy. A hybrid car uses a lithium ion battery in addition to gasoline as fuel.
(i) Calculate the specific energy of the lithium ion battery, in MJ kg−1, when 80.0 kg of fuel in the battery releases 1.58 × 107 J. Use section 1 of the data booklet.
(ii) The specific energy of gasoline is 46.0 MJ kg−1. Suggest why gasoline may be considered a better energy source than the lithium ion battery based on your answer to part (a) (i).
(i) The energy density of gasoline is 34.3 MJ dm−3. Calculate the volume of gasoline, in dm3, that is equivalent to the energy in 80.0 kg of fuel in the lithium ion battery. Use section 1 of the data booklet.
(ii) The efficiency of energy transfer by this lithium ion battery is four times greater than that of gasoline. Determine the distance, in km, the car can travel on the lithium ion battery power alone if the gasoline-powered car uses 1.00 dm3 gasoline to travel 32.0 km.
Markscheme
i
«\(\frac{{1.58 \times {{10}^7}{\rm{J}}}}{{80.0{\rm{kg}}}}\)=\(\frac{{15.8{\rm{MJ}}}}{{80.0{\rm{kg}}}}\)=» 1.98 × 10−1 «MJ kg−1»
ii
gasoline releases more energy from a given mass of fuel
OR
gasoline has higher specific energy
Do not accept volume in place of mass as question refers to specific energy, not energy density.
i
«\(\frac{{15.8\,{\text{MJ}}}}{{34.3\,{\text{MJ}}\,{\text{d}}{{\text{m}}^{ - 3}}}}\)»= 4.61 × 10−1 «dm3»
ii
«4.61 × 10−1 dm3 × 32.0 km dm−3 × 4»= 59.0/59.1 «km»
Examiners report
The sun is the main source of energy used on earth.
One fusion reaction occurring in the sun is the fusion of deuterium, \({}_1^2H\), with tritium, \({}_1^3H\), to form helium, \({}_2^4He\). State a nuclear equation for this reaction.
Explain why this fusion reaction releases energy by using section 36 of the data booklet.
State the technique used to show that the sun is mainly composed of hydrogen and helium.
Coloured molecules absorb sunlight. Identify the bonding characteristics of such molecules.
Markscheme
\({}_1^2H\) + \({}_1^3H\) → \({}_2^4He\) + \({}_0^1n\)
Accept "n" for "\({}_0^1n\)"
Accept "2H + 3H → 4He + 1n/n".
[1 mark]
higher binding energy/BE «per nucleon» for helium/products
OR
nucleons in products more tightly bound
mass defect/lost matter converted to energy
Accept converse statement in M1.
Accept “mass deficit” for “mass defect”.
[2 marks]
spectrometry
Accept “spectroscopy” for “spectrometry” OR more specific techniques such as “atomic absorption spectrometry/AAS”, “astrophotometry” etc. Do not award mark for incorrect specific spectrometric techniques.
Do not accept “spectrum”.
[1 mark]
«extensive system of» conjugation/alternating single and double «carbon to carbon» bonds
OR
delocalized electrons «over much of the molecule»
[1 mark]
Examiners report
In the 20th Century, both fission and fusion were considered as sources of energy but fusion was economically and technically unattainable.
Compare and contrast fission and fusion in terms of binding energy and the types of nuclei involved.
Suggest two advantages that fusion has over fission.
The amount of 228Ac in a sample decreases to one eighth \(\left( {\frac{1}{8}} \right)\) of its original value in about 18 hours due to β-decay. Estimate the half-life of 228Ac.
Markscheme
Fission: heavy nuclei AND Fusion: light nuclei
both increase in binding energy/energy yield «per nucleon»
Accept “large nuclei” OR “greater atomic masses of nuclei” for fission AND “small nuclei” OR “smaller atomic masses of nuclei” for fusion.
Award [1 max] for “Fission: heavy nuclei AND increase in binding energy «per nucleon»” OR “Fusion: light nuclei AND increase in binding energy” «per nucleon»”.
Any two of:
no/less radioactive waste produced
abundance/low cost of fuel
larger amounts of energy released per unit mass
does not require a critical mass
can be used continuously
fusion reactor less likely to cause large-scale technological disaster
Do not accept "no/less waste produced".
Accept “higher specific energy”.
[Max 2 Marks]
6 «hours»
Examiners report
One method of comparing fuels is by considering their specific energies.
Calculate the specific energy of octane, C8H18, in kJ kg–1 using sections 1, 6 and 13 of the data booklet.
A typical wood has a specific energy of 17 × 103 kJ kg–1. Comment on the usefulness of octane and wood for powering a moving vehicle, using your answer to (a).
If you did not work out an answer for (a), use 45 × 103 kJ kg–1 but this is not the correct answer.
State the name of one renewable source of energy other than wood.
Markscheme
Mr (C8H18) = 114.26 AND ΔH\(_c^\theta \)= –5470 «kJ mol–1»
«specific energy = \(\frac{{5470\,{\text{kJ}}}}{{0.11426\,{\text{kg}}}}\) =» 4.79 x 104/47873/47900 «kJ kg–1»
Award [2] for correct final answer.
Accept “48 x 103 «kJ kg–1»” OR “47.9 x 103 «kJ kg–1»”.
wood is less useful because it requires «about three times» more mass for same energy
Accept “octane is more useful because it has higher specific energy”.
Any one of:
wind
tidal/wave
hydro-electric
solar
thermal/geothermal
plant oil
Accept “biofuel/biodiesel/«bio»ethanol” but not just “water” or “fuel cells”.
[Max 1 Mark]
Examiners report
Carbon dioxide is a product of the combustion of petrol.
Explain the molecular mechanism by which carbon dioxide acts as a greenhouse gas.
Discuss the significance of two greenhouse gases, other than carbon dioxide, in causing global warming or climate change.
Markscheme
Any three of:
IR/long wavelength/low frequency radiation radiated/emitted by the Earth’s «surface absorbed in the bonds»
bond length/C=O changes
OR
«asymmetric» stretching of bonds
OR
bond angle/OCO changes
polarity/dipole «moment» changes
OR
dipole «moment» created «when molecule absorbs IR»
«some of» energy is then re-radiated towards «the surface of the» Earth
Do not accept terms such as “reflect” OR “bounced” OR “trapped”.
[3 marks]
Any two of:
H2O AND «relatively» greater abundance/stable concentration/less effective at absorbing radiation/lower GWP so not much overall effect on global warming/climate change
CH4/N2O/CFCs/SF6/O3/HCFCs AND more effective «than CO2» at absorbing radiation/higher GWP so could contribute to global warming/climate change
PFCs/SF6/NF3/Some CFCs AND have very long life in atmosphere so could contribute «in the future» to global warming/climate change
Accept names or formulas.
Accept two different gases with the same effect for [2].
Award [1 max] for identifying the names/formulas of two greenhouse gases.
Accept “greenhouse factor” for “GWP” but not just “greenhouse effect”.
For M3, do not allow “CFC” alone as only some have long lifetimes (eg, CFC-115, CFC-113).
[2 marks]
Examiners report
One suggestion for the reduction of carbon footprints is the use of biofuels, such as vegetable oils, as a substitute for petroleum based fuels.
Outline the major technical problem affecting the direct use of vegetable oils as fuels in internal combustion engines and the chemical conversion that has overcome this.
State the formula of a fuel that might be produced from the vegetable oil whose formula is shown.
Outline why biofuels are considered more environmentally friendly, even though they produce more carbon dioxide per kJ of energy than petroleum based fuels.
Markscheme
viscosity «of vegetable oils is too high»
transesterification
OR
«conversion into» alkyl/methyl/ethyl esters
[2 marks]
R–CO–O–CH3/RCOOMe
OR
R–CO–O–C2H5/RCOOEt
[1 mark]
«growing oil producing» plants absorbs carbon dioxide from the atmosphere
OR
«combustion of» petroleum based fuels releases carbon stored «for millions of years»
Accept “biofuels renewable” OR “petroleum based fuels non-renewable”.
Accept “waste vegetable oils can be converted to biofuels/biodiesel”.
Accept “biofuels do not contain sulfur”.
[1 mark]
Examiners report
Crude oil is a useful energy resource.
Outline two reasons why oil is one of the world’s significant energy sources.
Formulate an equation for the cracking of C16H34 into two products with eight carbon atoms each.
Identify, giving a reason, which product in (b)(i) could be used in petrol (gasoline).
Outline how higher octane fuels help eliminate “knocking” in engines.
The performance of hydrocarbons as fuels can be improved by catalytic reforming.
Outline how catalytic reforming increases a fuel’s octane rating.
Markscheme
Any two of:
high energy content/high energy density/high specific energy
OR
high enthalpy of combustion/very exothermic enthalpy of combustion
shortage of alternatives
OR
alternatives are expensive
OR
oil is relatively cheap
OR
oil is «still» abundant/common
well-established technology
OR
easy for consumers to obtain
OR
commonly used
easy to store
OR
easy to transport
OR
easy to extract
produces energy at a reasonable rate
Accept “high potential energy” for M1.
[2 marks]
C16H34(g) → C8H16(g) + C8H18(g)
OR
C16H34(g) + H2(g) → 2 C8H18(g)
[1 mark]
C8H18 AND is an alkane
OR
C8H18 AND petrol does not contain alkenes
[1 mark]
fuels can be compressed more without undergoing «unwanted» auto-ignition
Accept “burns smoother without undergoing «unwanted» auto-ignition” OR “fuel does not auto-ignite”.
[1 mark]
produces more branched chain hydrocarbons «with higher octane rating»
OR
produces aromatics «which have higher octane rating»
OR
produces cyclohexanes «which have higher octane rating»
Accept “increase branches”.
Do not accept “produces benzene”.
Do not penalize for “benzene” if penalty applied in 2.b.iii.
Accept “produces cyclic structures”.
[1 mark]
Examiners report
Greenhouse gases absorb infrared radiation.
Identify one naturally occurring greenhouse gas, other than carbon dioxide or water vapour, and its natural source.
Formulate an equation that shows how aqueous carbon dioxide produces hydrogen ions, H+(aq).
The concentrations of oxygen and nitrogen in the atmosphere are much greater than those of greenhouse gases. Outline why these gases do not absorb infrared radiation.
Markscheme

Accept “nitrous oxide”.
Accept “electrical discharges/lightning”.
[2 marks]
CO2(aq) + H2O(l) \( \rightleftharpoons \) H+(aq) + HCO3–(aq)
OR
CO2(aq) + H2O(l) \( \rightleftharpoons \) H2CO3(aq) AND H2CO3(aq) \( \rightleftharpoons \) H+(aq) + HCO3–(aq)
Accept CO2(aq) + H2O(l) \( \rightleftharpoons \) 2H+(aq) + CO32–(aq).
Accept equations with single arrow.
[1 mark]
no change in polarity/dipole «moment when molecule vibrates»
Do not accept “non-polar” or “no dipole moment” – idea of change must be there.
[1 mark]
Examiners report
A link between the combustion of fossil fuels and an increase in the temperature of the Earth’s atmosphere was proposed over a century ago.
Suggest why it is only in recent years that specific predictions of the future effects of fossil fuel combustion have been made.
Carbon dioxide has two different bond stretching modes illustrated below.

Predict, with an explanation, whether these stretching modes will absorb infrared radiation.
Outline, giving the appropriate equation(s), how increasing levels of carbon dioxide will affect the pH of the oceans.
Many combustion processes also release particulate matter into the atmosphere. Suggest, giving your reason, how this might affect the temperature of the Earth’s surface.
Markscheme
computers can now carry out more complex calculations
OR
better understanding of the interactions between the various systems involved
OR
clear evidence of global warming
OR
«reliable» global temperature data now available
OR
techniques have been available to monitor carbon dioxide levels
Accept “better/faster computers”.
Accept “better modelling”.
Accept “better/more reliable/consistent data”.
Accept “better measuring techniques”.
Accept other scientifically based (not politically based) reasons.
Accept if specific relevant data is given.
Do not accept “increased combustion of fossil fuels” or “increased concerns about global warming”.
[1 mark]
symmetric stretching will not absorb IR
OR
asymmetric stretching will absorb IR
change in polarity/dipole «moment» required «to absorb IR»
[2 marks]
CO2(aq) + H2O(l) \( \rightleftharpoons \) H+(aq) + HCO3–(aq) «and pH decreases»
OR
CO2(aq) + H2O(l) \( \rightleftharpoons \) H2CO3(aq) AND H2CO3(aq) \( \rightleftharpoons \) H+(aq) + HCO3–(aq) «and pH decreases»
Accept reversible or non-reversible arrows for all.
[1 mark]
reduce it AND absorbing/reflecting sunlight
Accept “reduce it because of global dimming”.
Accept “reduce it AND blocking sunlight”.
[1 mark]
Examiners report
Although fossil fuels are considered significant sources of energy, the energy conversion associated with the production of electricity is a very inefficient process, often in the region of only 40% of total possible energy conversion.
Fuel cells provide a much more efficient process, often with a 70% conversion factor.
State the energy change conversion involved in a fuel cell.
(i) Identify the two half-equations that take place at the positive electrode (cathode) and negative electrode (anode) in a hydrogen-oxygen fuel cell with an alkaline electrolyte.
Positive electrode (cathode) half-equation:
Negative electrode (anode) half-equation:
(ii) State the overall reaction, identifying the states of all species involved.
(iii) Outline the function of the thin polymer membrane used in the corresponding hydrogen-oxygen fuel cell with an acidic electrolyte.
(iv) Other than cost, state one disadvantage of a fuel cell.
Markscheme
chemical (energy) to electrical (energy);
(i) Positive electrode (cathode) half-equation:
\({{\text{O}}_2} + {\text{2}}{{\text{H}}_2}{\text{O}} + {\text{4}}{{\text{e}}^ - } \to {\text{4O}}{{\text{H}}^ - }/\frac{1}{2}{{\text{O}}_2} + {{\text{H}}_2}{\text{O}} + {\text{2}}{{\text{e}}^ - } \to {\text{2O}}{{\text{H}}^ - }\);
Negative electrode (anode) half-equation:
\({\text{2}}{{\text{H}}_2} + {\text{4O}}{{\text{H}}^ - } \to {\text{4}}{{\text{H}}_2}{\text{O}} + {\text{4}}{{\text{e}}^ - }/{{\text{H}}_2} + {\text{2O}}{{\text{H}}^ - } \to {\text{2}}{{\text{H}}_2}{\text{O}} + {\text{2}}{{\text{e}}^ - }\) /
\(\frac{1}{2}{{\text{H}}_2} + {\text{O}}{{\text{H}}^ - } \to {{\text{H}}_2}{\text{O}} + {{\text{e}}^ - }\);
Award [1 max] if correct half-equations are given but incorrect electrodes.
Allow e instead of e–.
Penalise use of reversible arrow once only in 9 (b)(i) and 11 (a).
(ii) \({\text{2}}{{\text{H}}_2}{\text{(g)}} + {{\text{O}}_2}{\text{(g)}} \to {\text{2}}{{\text{H}}_2}{\text{O(l)}}/\frac{1}{2}{{\text{O}}_2}{\text{(g)}} + {{\text{H}}_2}{\text{(g)}} \to {{\text{H}}_2}{\text{O(l)}}\);
State symbols required.
Allow H2O(g).
(iii) allows flow of ions/\({{\text{H}}^ + }\)/protons (from anode/negative electrode to cathode/positive electrode) / prevents reactants mixing/moving from one compartment to another / salt bridge / prevents flow of electrons through membrane / OWTTE;
(iv) storage/transport difficulties of gases / potentially explosive/hydrogen is flammable / needs constant supply of fuel / can contain heavy metal(s) / often operated at high temperature / low power to mass ratio / susceptible to poisoning due to impurities in fuel / OWTTE;
Allow a named gas (hydrogen or oxygen) for storage/transport difficulties.
Allow problems related to corrosion.
Accept answers based on ethanol and methanol fuel cells (but needs to be stated) such as difficult to use in cold weather/less clean product (CO2) formed.
Examiners report
Although most candidates knew the energy conversion for the fuel cell in part (a), majority of the candidates were not able to identify the half reactions in part (b) correctly and scored poorly on (b)(i) and (ii). The function of the polymer membrane was well understood as were the disadvantages of the fuel cell. Most candidates were successful in scoring the mark for parts (b)(iii) and (iv).
Although most candidates knew the energy conversion for the fuel cell in part (a), majority of the candidates were not able to identify the half reactions in part (b) correctly and scored poorly on (b)(i) and (ii). The function of the polymer membrane was well understood as were the disadvantages of the fuel cell. Most candidates were successful in scoring the mark for parts (b)(iii) and (iv).
Catalysts may be homogeneous or heterogeneous.
Distinguish between homogeneous and heterogeneous catalysts.
Discuss two factors which need to be considered when selecting a catalyst for a particular chemical process.
Identify the catalyst used in the catalytic cracking of long chain hydrocarbons and state one other condition needed.
State an equation for the catalytic cracking of the straight chain hydrocarbon pentadecane, \({{\text{C}}_{{\text{15}}}}{{\text{H}}_{{\text{32}}}}\), to produce two products with similar masses.
Markscheme
homogeneous catalysts are in the same phase/state as reactants and heterogeneous catalysts are in a different phase/state to reactants;
should produce only the desired product / selectivity;
efficiency;
should be able to work under both mild and severe conditions / should be able to work at high temperatures;
should not produce an (unwanted) environmental impact;
cost / economic viability / OWTTE;
ease of poisoning/contamination;
(catalyst a mixture of) silica/silicon dioxide/ \({\text{Si}}{{\text{O}}_2}\) and alumina/aluminium oxide/\({\text{A}}{{\text{l}}_{\text{2}}}{{\text{O}}_{\text{3}}}\) / zeolites/aluminosilicates;
high temperature / 500 °C;
\({{\text{C}}_{15}}{{\text{H}}_{32}} \to {{\text{C}}_8}{{\text{H}}_{18}} + {{\text{C}}_7}{{\text{H}}_{14}}/{{\text{C}}_{15}}{{\text{H}}_{32}} \to {{\text{C}}_8}{{\text{H}}_{16}} + {{\text{C}}_7}{{\text{H}}_{16}}\);
Examiners report
Most candidates were aware of the differences between homogeneous and heterogeneous catalysts.
Few candidates could name the catalyst but knew one other condition needed for catalytic cracking.
Most correctly stated an equation for the catalytic cracking of pentadecane, but some added oxygen or water, and some had too many hydrogen atoms in the products.
Much of our energy needs are still provided by the refined products of crude oil.
“Knocking” in an automobile (car) engine can be prevented by increasing the octane number of the fuel. Explain, including an equation with structural formulas, how heptane, C7H16, could be chemically converted to increase its octane number.
Many like to refer to our “carbon footprint”. Outline one difficulty in quantifying such a concept.
Climate change or global warming is a consequence of increased levels of carbon dioxide in the atmosphere. Explain how the greenhouse effect warms the surface of the earth.
Outline how water and carbon dioxide absorb infrared radiation.
Markscheme
CH3CH2CH2CH2CH2CH2CH3 → CH3CH(CH3)CH2CH(CH3)2
OR
CH3CH2CH2CH2CH2CH2CH3 →
isomerisation/reforming/platforming/cracking
Pt/Re/Rh/Pd/Ir
OR
catalyst
A structural formula is only required for the organic product, not heptane.
Accept any correctly balanced equation showing increased branching or cyclization OR aromatization OR cracking.
Suitable supports for catalysts may be included for M3 (eg silica, alumina, zeolite) but the symbol or name of an appropriate metal must be given (typically a noble metal). Ignore temperature and other conditions.
Award M2 AND M3 for “catalytic isomerisation” OR “catalytic reforming” OR “catalytic cracking”.
which specific carbon-based greenhouse gases are included
OR
whether non-carbon based greenhouse gases should be included
OR
whether CO/incomplete combustion should be included «as can be oxidized to CO2»
OR
how to “sum” all steps in a process creating CO2
OR
difficult to determine both direct and indirect production of GHG/greenhouse gas emissions
Ignore reference to geopolitical issues (eg false recording of data by governments etc.).
Accept “difficult to measure all sources of CO2” but not “difficult to measure CO2 released in atmosphere”.
Any three of:
incoming solar radiation is short wavelength/high frequency/high energy/UV
radiated/emitted as long wavelength/low frequency/low energy/IR «radiation»
energy/IR «radiation» absorbed by «bonds in» greenhouse gases
energy radiated/emitted as IR «radiation» some of which returns back to Earth
Do not accept “reflected” OR “bounced” OR “trapped”.
[Max 3 Marks]
bond length changes
OR
«asymmetric» stretching «of bonds»
OR
bond angle changes/bends
OR
polarity/dipole «moment» changes
OR
a dipole «moment» is created «when the molecule absorbs IR»
Accept “vibration of bonds” OR appropriate diagram
Examiners report
The increased concentration of carbon dioxide in the atmosphere is thought to result from the increased combustion of fossil fuels such as petroleum.
Identify an element, other than carbon and hydrogen, found at significant concentrations in fossil fuels.
Petroleum contains many hydrocarbons. Explain how these are separated by fractional distillation.
Determine the specific energy and energy density of petrol (gasoline), using data from sections 1 and 13 of the data booklet. Assume petrol is pure octane, C8H18. Octane: molar mass = 114.26 g mol−1, density = 0.703 g cm−3.
Outline why the energy available from an engine will be less than these theoretical values.
Markscheme
nitrogen/N
OR
oxygen/O
OR
sulfur/S
Accept “phosphorus/P”.
[1 mark]
Any three of:
different molar masses
OR
different strengths of intermolecular forces
different boiling points
temperature in «fractionating» column decreases upwards
«components» condense at different temperatures/heights
OR
«component with» lower boiling point leaves column first
[3 marks]
specific energy «= \(\frac{{{\text{energy released}}}}{{{\text{mass consumed}}}}\) = \(\frac{{5470{\text{ kJ mo}}{{\text{l}}^{ - 1}}}}{{114.26{\text{ g mo}}{{\text{l}}^{ - 1}}}}\)» = 47.9 «kJ g–1»
energy density «\(\frac{{{\text{energy released}}}}{{{\text{volume consumed}}}}\) = specific energy × density = 47.9 kJ g–1 × 0.703 g cm–3» = 33.7 «kJ cm–3 »
Do not accept “–47.9 «kJ g–1»”.
Do not accept “–33.7 «kJ cm–3»” unless “–47.9 «kJ g–1»” already penalized.
[2 marks]
energy is lost «to the surroundings» as heat/sound/friction
OR
energy is lost to the surroundings «as heat/sound/friction»
OR
incomplete combustion
Do not accept just “energy is lost”.
[1 mark]
Examiners report
Carbon dioxide, methane and chlorofluorocarbons (CFCs) are well known greenhouse gases. Nitrogen trifluoride, \({\text{N}}{{\text{F}}_{\text{3}}}\), is thousands of times more effective at warming the atmosphere than an equal mass of carbon dioxide. \({\text{N}}{{\text{F}}_{\text{3}}}\) can be used in the manufacture of computer chips and thin-film solar photovoltaic cells.
Identify two greenhouse gases not mentioned above. One of the gases that you identify should contain a nitrogen atom. For each gas, state its source.
Greenhouse gas 1:
Source:
Greenhouse gas 2:
Source:
The methane produced by sheep and cows can contribute to global warming. In Australia, it is considered that sheep and cows produce approximately 14% of the country’s total greenhouse emissions. Explain how this methane is formed.
The following graph shows the annual increase in the concentration of atmospheric carbon dioxide recorded at Mauna Loa, Hawaii.

Explain why the graph is not smooth but involves annual fluctuations (shown in grey).
State one effect of global warming.
Markscheme
\({{\text{N}}_2}{\text{O}}\);
artificial fertilizers / combustion/decomposition of biomass;
Award [2 max] for one of the following pairs.
\({{\text{H}}_2}{\text{O}}\);
evaporation of oceans/lakes;
OR
\({\text{S}}{{\text{F}}_6}\);
insulator in electrical industry;
OR
\({{\text{O}}_3}\);
photochemical smog / electrical generators;
Allow correct names (e.g. ozone) instead of formulas.
Sources must match gases for [1].
breakdown of grass in animals stomachs / microbes in animals stomachs / by-product of fermentative digestion in rumen (and hind gut);
seasonal since plants grow in spring and decay in autumn/fall / amount of \({\text{C}}{{\text{O}}_{\text{2}}}\) in the atmosphere depends on (natural processes such as) photosynthesis, which happens (more) in spring and summer than in autumn/fall and winter;
rise in sea levels / thermal expansions of the oceans;
melting polar ice-caps/glaciers;
changes in climatic patterns / OWTTE;
changes in agriculture and bio-distribution / OWTTE;
Allow specific changes.
Examiners report
Part (a) required candidates to identify two greenhouse gases not mentioned already in the stem of the question. It was also stated that one of these gases should contain a nitrogen atom. Only the best candidates could identify two greenhouse gases and their sources. There were many incorrect responses, and many responses that did not meet the requirements of the question.
Parts (b) and (c) indicated that candidates did not have sufficient experiences of real situations to set their knowledge in context, and few candidates linked the annual fluctuations to seasonal changes in photosynthesis. Some G2 comments reflected that teachers felt these questions were not directly related to the syllabus, but E.3.2 indicates that candidates should have familiarity with these sources.
Parts (b) and (c) indicated that candidates did not have sufficient experiences of real situations to set their knowledge in context, and few candidates linked the annual fluctuations to seasonal changes in photosynthesis. Some G2 comments reflected that teachers felt these questions were not directly related to the syllabus, but E.3.2 indicates that candidates should have familiarity with these sources.
Nearly all candidates could state one effect of global warming in (d).
Nuclear power is another source of energy.
Compare and contrast the process of nuclear fusion with nuclear fission.
Dubnium-261 has a half-life of 27 seconds and rutherfordium-261 has a half-life of 81 seconds.
Estimate what fraction of the dubnium-261 isotope remains in the same amount of time that \(\frac{3}{4}\) of rutherfordium-261 decays.
Markscheme
Award [1] for one similarity:
both increase binding energy/energy yield «per nucleon»
OR
mass loss/defect in both «nuclear» reactions/mass converted to energy «from E = mc2»
OR
both produce ionizing radiation
Award [2 max] for any two differences:
in fusion, light nuclei combine to form heavier ones AND in fission, heavier nuclei split into lighter ones
fission produces radioactive/nuclear waste AND fusion does not
fission is caused by bombarding with a neutron «or by spontaneous fission» AND fusion does not
OR
fission can initiate a chain reaction AND fusion does not
fusion releases more energy per unit mass of fuel than fission
fuel is easier to obtain/cheaper for fusion reactions
fission reactions can be controlled in a power plant AND fusion cannot «yet»
fusion reactor less likely to cause a large-scale technological disaster compared to fission
fusion less dangerous than fission as radioactive isotopes produced have short half-lives so only cause a threat for a relatively short period of time
fusion is in experimental development AND fission used commercially
Accept “small nuclei” OR “smaller atomic masses of nuclei” for “light nuclei” AND “large nuclei” OR “greater atomic masses of nuclei” for “heavier nuclei”.
Do not accept “no/less waste produced for fusion”.
Accept “higher specific energy for fusion”.
[3 marks]
\(\frac{1}{{64}}\)/\(\frac{1}{{{2^6}}}\)/0.016
Accept “1.6%”.
[1 mark]
Examiners report
Nuclear fission of 235U is one source of electrical energy that has a minimal carbon footprint.
Natural uranium needs to be enriched to increase the proportion of 235U. Suggest a technique that would determine the relative abundances of 235U and 238U.
Explain how 235U fission results in a chain reaction, including the concept of critical mass.
Suggest one reason why there is opposition to the increased use of nuclear fission reactors.
Markscheme
mass spectrometry/mass spectroscopy/MS
Accept “analysis of radiation emitted”.
[1 mark]
critical mass: mass required so that «on average» each fission/reaction results in a further fission/reaction
Any two for [2 max]:
neutron captured by «235U» nucleus
fission/reaction produces many neutrons/more than one neutron
if these cause further fission/reaction a chain reaction occurs
Accept “minimum mass of fuel needed for the reaction to be self-sustaining”.
Accept answers in the form of suitable diagrams/equations.
[3 marks]
produce long lived/long half-life radioisotopes/radioactivity
OR
could be used to produce nuclear weapons
OR
«nuclear» accidents/meltdowns can occur
Accept “long lived/long half-life radioactive waste”.
[1 mark]
Examiners report
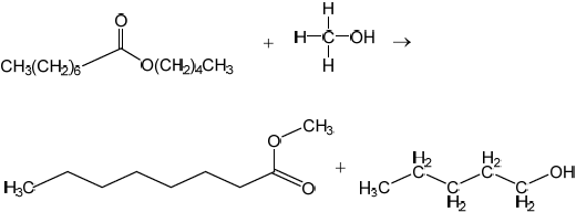
One method of producing biodiesel is by a transesterification process.
Deduce the equation for the transesterification reaction of pentyl octanoate, C7H15COOC5H11, with methanol.
Outline why the ester product of this reaction is a better diesel fuel than pentyl octanoate.
Markscheme
C7H15COOC5H11(l) + CH3OH(l) → C7H15COOCH3(l) + C5H11OH(l)
OR
C13H26O2(l) + CH4O(l) → C9H18O2(l) + C5H12O(l)
OR

Accept correct equation in any format eg, skeletal, condensed structural formula, etc.
Accept equations with equilibrium arrow.
[1 mark]
less viscous «and so does not need to be heated to flow»
OR
less likely to undergo incomplete combustion
OR
fewer intermolecular/London/dispersion forces
OR
vaporizes easier
Ignore equation and products in 14a.
Accept “van der Waals’/vdW” for “London”.
[1 mark]
Examiners report
Petroleum (mineral oil) can be used either as a fuel or a chemical feedstock.
Name two fuels that are obtained from petroleum.
Describe one environmental problem that can result from the combustion of these fuels in the internal combustion engine and identify the specific combustion product responsible.
Plastic litter is an environmental problem that results from the use of petroleum as a chemical feedstock. Identify the property of plastics that is responsible for this.
One product that is made from crude oil is the chemical feedstock that can be used to synthesize commercial liquid-crystal displays. Discuss the properties that a substance must have to make it suitable for use as a liquid-crystal display.
Markscheme
Any two for [1]
petrol/gasoline
kerosene/paraffin/aviation fuel
diesel
fuel oil/gas oil
petroleum gas/refinery gas
global warming;
carbon dioxide;
OR
air pollution;
carbon monoxide / particulates / oxides of nitrogen/NO/\({\text{N}}{{\text{O}}_{\text{2}}}\) / \({\text{VO}}{{\text{C}}_{\text{s}}}\);
Accept oxides of sulphur/SO2.
OR
acid rain;
oxides of nitrogen/NO/\({\text{N}}{{\text{O}}_{\text{2}}}\);
Accept oxides of sulphur/SO2.
slow decomposition / not biodegradeable;
chemically stable;
liquid crystal phase over a suitable range of temperatures;
rapid switching speed;
Examiners report
In part (a) a significant number of candidates named two fuels obtained from petroleum.
A significant number of candidates described the environmental problem.
The non-biodegradable property of plastics was stated correctly by many candidates.
The properties of a material that made it suitable for use as a liquid crystal display demonstrated poor understanding by many candidates.
Nuclear reactions transform one nuclide into another. Fission, splitting a large nucleus into two smaller nuclei, releases vast amounts of energy.
(i) Explain why fusion, combining two smaller nuclei into a larger nucleus, releases vast amounts of energy. Use section 36 of the data booklet.
(ii) Outline one advantage of fusion as a source of energy.
Radioactive phosphorus, 33P, has a half-life of 25.3 days.
(i) Calculate 33P decay constant λ and state its unit. Use section 1 of the data booklet.
(ii) Determine the fraction of the 33P sample remaining after 101.2 days.
Markscheme
i
product has higher binding energy «per nucleon»/more stable
OR
nucleons in product more tightly bound «with one another»
lighter elements «than Fe» can fuse/combine with loss of mass/mass defect «and release vast amount of energy»
Accept “mass is converted to energy” for M2
ii
Any one of:
deuterium/fuel is abundant/cheap
«helium» products not radioactive
fusion much less dangerous than fission
large amounts/shipments of radioactive fuel not required
far less radioactive waste «created by fast moving neutrons» has to be stored
Accept “reduces greenhouse gas emissions/global warming” OR “no radioactive waste” OR “more reliable power” OR “fewer safety issues”.
Do not accept “gives out a large amount of energy” as it is in the stem of the question.
i
«\(\lambda = \frac{{\ln 2}}{{{t_{\frac{1}{2}}}}} = \frac{{0.693}}{{25.3\,{\text{days}}}} = \)» 2.74 × 10−2 day−1
Need correct unit for mark.
ii
«4 half-lives; 1 →\(\frac{1}{2}\)→\(\frac{1}{4}\)→\(\frac{1}{8}\)→\(\frac{1}{16}\) =» \(\frac{1}{16}\) / 6.25 × 10−2
OR
«\(\frac{N}{{{N_0}}} = {e^{ - {\lambda _t}}} = {e^{ - 0.0274\,\, \times \,\,101.2}} = \)» 6.25 × 10−2
Accept 6.25%.
Examiners report
Carbon is produced by fusion reactions in stars.
The main fusion reaction responsible for the production of carbon is:
X + \(_2^4{\text{He}} \to _{\;6}^{12}{\text{C}}\)
Outline how the spectra of light from stars can be used to detect the presence of carbon.
Deduce the identity of X.
Outline why this reaction results in a release of energy.
Nuclear fusion reactors are predicted to become an important source of electrical energy in the future. State two advantages of nuclear fusion over nuclear fission.
Markscheme
presence of dark/absorption lines corresponding to those found for carbon
OR
missing wavelengths/frequencies correspond to carbon’s spectrum
Accept “presence of characteristic dark lines”.
Do not accept answer in terms of emission spectra.
[1 mark]
\({}_4^8Be\)
[1 mark]
product «nucleus» has a greater binding energy «per nucleon than reacting nuclei»
Accept “mass of the products is less than mass of the reactants”.
Accept converse arguments.
[1 mark]
fuel more abundant/cheaper
no «long half-life» radioisotopes/radioactive waste
shipment of radioactive fuels not required
plutonium/nuclear weapons cannot be produced from products
nuclear disasters less likely «as no critical mass of fuel required»
higher specific energy/energy per g/kg/unit mass than fission
Do not accept simply “fusion produces more energy than fission”.
[2 marks]
Examiners report
Thermal cracking, catalytic cracking and steam cracking are all used to convert alkane molecules into smaller molecules. Identify which one of the three types of cracking is used to crack a hexane molecule, C6H14, into propane and an alkene molecule, and state the equation involved.
Markscheme
steam cracking;
\({{\text{C}}_{\text{6}}}{{\text{H}}_{{\text{14}}}} \to {{\text{C}}_{\text{3}}}{{\text{H}}_{\text{8}}} + {{\text{C}}_{\text{3}}}{{\text{H}}_{\text{6}}}\);
Ignore state symbols.
Examiners report
Most candidates were able to state the equation (in quite a few cases the molecular formula of propane was not known) for the cracking process, but only about half correctly identified steam cracking.
Auto-ignition of hydrocarbon fuel in a car engine causes “knocking”. The tendency of a fuel to knock depends on its molecular structure.
Discuss how the octane number changes with the molecular structure of the alkanes.
Catalytic reforming and cracking reactions are used to produce more efficient fuels. Deduce the equation for the conversion of heptane to methylbenzene.
Markscheme
«tends to» decrease with longer/larger/heavier alkanes
«tends to» increase with bulkier/more branched alkanes
Accept “octane number decreases with the separation between branches” OR “increases with the more central position of branches”.
Accept converse arguments.
C7H16 → C6H5CH3 + 4H2
Accept “C7H8” for “C6H5CH3”.
Examiners report
Fuel cells convert chemical energy directly into electrical energy that can be used in applications ranging from spacecraft to remote weather stations.
Describe the composition of the electrodes in a hydrogen-oxygen fuel cell.
State the half-equation at each electrode in the hydrogen-oxygen alkaline cell.
Positive electrode (cathode):
Negative electrode (anode):
Markscheme
(porous) carbon/graphite electrodes (impregnated) with Pd/Pt/Ag catalysts;
Just Pb/Pt/Ag not sufficient for mark.
Positive electrode (cathode):
\({{\text{O}}_2}{\text{(g)}} + {\text{2}}{{\text{H}}_2}{\text{O(l)}} + {\text{4}}{{\text{e}}^ - } \to {\text{4O}}{{\text{H}}^ - }{\text{(aq)}}\);
Negative electrode (anode):
\({{\text{H}}_2}{\text{(g)}} + {\text{2O}}{{\text{H}}^ - }{\text{(aq)}} \to {\text{2}}{{\text{H}}_2}{\text{O(l)}} + {\text{2}}{{\text{e}}^ - }\);
Ignore state symbols.
Allow e instead of \({e^ - }\).
Award [1] if equations are correct but electrodes reversed.
Examiners report
The question on fuel cells was poorly answered, with very few including both graphite and a Pd or Pt or Ag metal in the composition of electrodes.
Only the better candidates had no difficulty with the half-equations at each electrode in the hydrogen-oxygen alkaline fuel cell.
Hexane, C6H14, is not a suitable fuel for internal combustion engines as it has a tendency to auto-ignite, a cause of “knocking”.
(i) Hexane can be converted to different organic products in a reforming process. Identify one of these products.
(ii) Suggest why the product in (a)(i) has a lesser tendency to auto-ignite than hexane.
(i) Octane, C8H18, can undergo complete combustion under suitable conditions. Calculate the specific energy of octane, in kJg−1, using sections 1, 6 and 13 of the data booklet.
(ii) The specific energy of ethanol is 29.7kJg−1. Evaluate the addition of ethanol to octane (or its isomers) for use as a fuel in motor vehicles, giving one advantage and one disadvantage.
Advantage:
Disadvantage:
Coal can be heated with steam to produce synthetic natural gas. Formulate an equation to show the formation of methane, CH4(g), from coal, C(s), and steam, H2O(g).
Markscheme
2,2-dimethylbutane
OR
2,3-dimethylbutane
OR
3-methylpentane
OR
2-methylpentane
OR
cyclohexane
OR
methylcyclopentane
OR
benzeneAccept name or structural formula.
Accept any mono or poly-substituted cycloalkane with a total of six carbon atoms.
(ii)
increased branching (for acyclic hydrocarbons)/aromatic/aromaticity (for benzene)/cyclic hydrocarbon
OR
tertiary radicals are more stable
OR
higher octane ratingResponse in M1 must be consistent with molecule chosen in a (i)
(i)
«\(\frac{{5470}}{{114.26}}\)= » 47.9 «kJ g-1»
(ii)
Advantage:
ethanol does not produce particulates/has less incomplete combustion/CO/HCs/VOCs/is less polluting
OR
ethanol has high octane rating
OR
ethanol is renewable
OR
less environmental risks associated with spills for ethanol OR less carbon dioxide/CO2 produced if renewable energy source used
OR
economic advantages for countries that cannot produce crude oil
Accept any valid advantage and disadvantage.
Ignore any mention of cost.
Ignore any mention of NOx.
Disadvantage:
reduces efficiency/lowers specific energy/lowers energy density
OR
ethanol is more volatile/evaporates easily «than octane or its isomers»
OR
land that could be used for food production used to produce crops for ethanol
OR
biodiversity can be affected/loss of habitats «due to energy crop plantations
OR
phosphorus/nitrogen used in production has negative environmental effects
OR
modification of current engines «may be required» if ethanol used
Accept “if the fuel blend consists of nearly pure ethanol, engine is difficult to start in cold weather”.
Accept for disadvantage any engine-related problem affected by ethanol use (eg. effect on fuel pumps, incorrect fuel quantity indicators, older cars may not be suitable for ethanol use, etc.).
2C(s) + 2H2O(g) → CH4 (g) + CO2 (g)
OR
3C(s) + 2H2O(g) → CH4 (g) + 2CO(g)
Accept a two-step process.
Examiners report
Although crude oil is considered an extremely important energy source, it cannot be used directly as a resource.
Suggest why crude oil needs to be refined before it can be used.
Thermal cracking, catalytic cracking and steam cracking can all be used to convert molecules of alkanes into alkenes.
(i) State the type of cracking which can be used to crack ethane into ethene, the chemical equation for the process and one reaction condition required.
Type of cracking:
Chemical equation:
Reaction condition:
(ii) Suggest one use for the other product formed in this reaction in addition to ethene.
Markscheme
viscous / varied composition / complex mixture / has to be broken down into more usable substances / OWTTE;
(i) Type of cracking:
steam;
Chemical equation:
\({{\text{C}}_{\text{2}}}{{\text{H}}_{\text{6}}} \to {{\text{C}}_{\text{2}}}{{\text{H}}_{\text{4}}} + {{\text{H}}_{\text{2}}}\);
One reaction condition:
high temperature range / low pressure;
Allow any temperature if specified in the range 800–1400 °C/1073–1673 K.
Award [2] for all three correct, [1] for any two correct.
(ii) fuel (eg, in space vehicles) / to make fertilizer (on reaction with nitrogen) / margarine manufacture / reduction of metal ores;
Do not apply ECF from (i).
Accept other reasonable answers.
Examiners report
Candidates struggled with this option. The few who attempted this option had difficulties with almost all the questions. For part (a) ‘refined’ was interpreted as impurities that needed to be removed. The idea of different fractions used as fuels in the crude oil was missed by majority of the candidates. Many did not provide a complete response by comparing crude oil as a fuel and as a feedstock; many only addressed one of these two. Candidates also had difficulty providing examples for crude oil components and feedstock. Students did not score well in this part. Part (b) was also challenging for the students. Most students performed poorly unable to provide examples for feedstock and crude oil fuel fractions. About half the candidates gave thermal cracking as the response for (c)(i), and were not able to score the point. Majority of the candidates gave the correct response for the uses of the products of cracking for (c)(ii).
Candidates struggled with this option. The few who attempted this option had difficulties with almost all the questions. For part (a) ‘refined’ was interpreted as impurities that needed to be removed. The idea of different fractions used as fuels in the crude oil was missed by majority of the candidates. Many did not provide a complete response by comparing crude oil as a fuel and as a feedstock; many only addressed one of these two. Candidates also had difficulty providing examples for crude oil components and feedstock. Students did not score well in this part. Part (b) was also challenging for the students. Most students performed poorly unable to provide examples for feedstock and crude oil fuel fractions. About half the candidates gave thermal cracking as the response for (c)(i), and were not able to score the point. Majority of the candidates gave the correct response for the uses of the products of cracking for (c)(ii).
Fuel cells and rechargeable batteries are both convenient ways of providing portable electric power.
Compare fuel cells and rechargeable batteries giving one similarity and one difference.
Similarity:
Difference:
One common type of rechargeable cell is the nickel–cadmium (NiCad) battery. For each terminal of this battery state the initial and final oxidation number of the element when the cell is delivering a current. Hence deduce which electrode is acting as the anode and which the cathode.

A common type of fuel cell uses hydrogen and oxygen with an acidic electrolyte. State the half-equations for the reactions at the two electrodes.
Positive electrode:
Negative electrode:
The electrodes of fuel cells and rechargeable batteries have a feature in common with heterogeneous catalysts. Identify this feature and state why it is important for them to work efficiently.
Markscheme
Similarity:
both turn chemical energy into electrical energy / use chemical reactions to produce electricity/lectrical energy / OWTTE;
Difference [1 max]:
rechargeable batteries have reversible reactions but fuel cells do not;
fuel cells consume fuel but rechargeable batteries do not require (external) fuel;
rechargeable batteries can be recharged by electricity but fuel cells cannot;

All correct [3], 4 or 5 correct [2], 2 or 3 correct [1]
Positive electrode:
\({{\text{O}}_2}{\text{(g)}} + {\text{4}}{{\text{H}}^ + }{\text{(aq)}} + {\text{4}}{{\text{e}}^ - } \to {\text{2}}{{\text{H}}_2}{\text{O(l)}}\);
Negative electrode:
\({{\text{H}}_2}{\text{(g)}} \to {\text{2}}{{\text{H}}^ + }{\text{(aq)}} + {\text{2}}{{\text{e}}^ - }\);
large surface area;
changes only occur on the surface / where electron transfer occurs / OWTTE;
Examiners report
Some candidates were able to write one similarity and one difference between fuel cells and rechargeable batteries.
Part (b) was very poorly answered.
None of the candidates scored full marks particularly in part (c) where it was rare to see any correct half-equations; the candidates also overlooked the fact that the electrolyte was acidic.
Part (d) seldom had any correct answers.
Carbon dioxide and water vapour are greenhouse gases produced by the combustion of fossil fuels.
Explain the effect of the increasing concentration of atmospheric carbon dioxide on the acidity of oceans.
(i) Describe the changes that occur at the molecular level when atmospheric carbon dioxide gas absorbs infrared radiation emitted from the Earth’s surface.
(ii) Other than changes to the acidity of oceans, suggest why the production of carbon dioxide is of greater concern than the production of water vapour.
Markscheme
Any two of:
CO2 (g) \(\mathop \rightleftharpoons \limits^{{{\text{H}}_{\text{2}}}{\text{O}}\,{\text{(l)}}} \) CO2 (aq)
CO2 (aq) + H2O (l) \( \rightleftharpoons \) H+ (aq) + HCO3– (aq)
OR
HCO3– AND H+ are formed «by dissolved CO2»
«increasing [CO2]» shifts equilibrium to right/increases acidity/decreases pH
H2O (l) not required over equilibrium sign for M1.
State symbols required in the equation in M1.
Accept “H2CO3 ” at either side of the equilibrium in M2.
Equilibrium sign required for M1 but not for M2.
i
bond length/C=O changes
OR
«asymmetric» stretching «of bonds»
OR
bond angle/OCO changes
Accept “molecule bends” for M1.
Accept appropriate diagrams
photon re-emitted in random direction
OR
polarity/dipole «moment» changes
OR
dipole «moment» created «when molecule absorbs IR»
ii
CO2 gas «ten times» more effective as greenhouse gas/GHG than H2O
OR
CO2 gas levels keep increasing «unlike H2O»
OR
CO2 has higher Global Warming Potential/GWP than H2O
OR
CO2 stays in the atmosphere for longer than H2O
Accept converse arguments.
Examiners report
The greenhouse effect maintains the earth’s temperature, which makes the planet habitable. However, over the last 100 years the average temperature of the earth has increased by almost 1 °C. Most climate scientists believe this warming is due to increased levels of greenhouse gases in the atmosphere.
Two of the major greenhouse gases in the atmosphere are methane and carbon dioxide. State two other major greenhouse gases.
Discuss which two gases from the four gases in part (a) are the most significant for global warming.
Discuss two effects of global warming.
Markscheme
\({{\text{H}}_{\text{2}}}{\text{O}}\);
\({{\text{N}}_{\text{2}}}{\text{O}}\)/nitrous oxide/dinitrogen monoxide/nitrogen(I) oxide;
chlorofluorocarbons/CFCs/e.g. \({\text{CC}}{{\text{l}}_{\text{2}}}{{\text{F}}_{\text{2}}}\);
\({{\text{O}}_{\text{3}}}\)/ozone;
\({\text{S}}{{\text{F}}_{\text{6}}}\);
Do not accept NOx/nitrogen oxides.
Accept names or formulas.
Gas: \({{\text{H}}_{\text{2}}}{\text{O}}\) and reason: greatest abundance;
Gas: \({\text{C}}{{\text{O}}_{\text{2}}}/{{\text{H}}_{\text{2}}}{\text{O}}\) and reason: greatest abundance;
Gas: \({\text{C}}{{\text{H}}_{\text{4}}}/{{\text{N}}_{\text{2}}}{\text{O}}\) and reason: more effective at absorbing radiation;
Gas: \({\text{CFC}}/{\text{S}}{{\text{F}}_{\text{6}}}\) more effective at absorbing radiation/very long life in atmosphere;
thermal expansion of the oceans / changes in sea temperature affecting sea life;
melting of the polar ice-caps/glaciers / rising sea levels;
floods / droughts / changes in precipitation and temperature;
changes in migration patterns of animals / changes in distribution of species / species more likely to become naturalized;
changes in the yield/distribution of crops;
changes in the distribution of pests/insects/pathogens/disease-carrying organisms;
Do not accept “climate change”.
Examiners report
Some candidates were not able to provide two more major greenhouse gases. Many candidates stated \({\text{N}}{{\text{O}}_{\text{2}}}\) rather than \({{\text{N}}_{\text{2}}}{\text{O}}\) as a greenhouse gas.
Candidates also had some difficulty explaining which greenhouse gases were most significant. Candidates only gave the name of the most significant greenhouse gas but did not provide an explanation.
Although most candidates were able to discuss two effects of global warming, some candidates confused global warming with the depletion of the ozone layer. Candidates were also expected to discuss the effects of global warming rather than just restate the question by stating that the atmospheric temperature would increase.
Coal is often converted to liquid hydrocarbon fuels through initial conversion to carbon monoxide and hydrogen.
State how these gases are produced, giving the appropriate equation(s).
Outline how the carbon monoxide is then converted to a hydrocarbon fuel.
Markscheme
heat/react with «oxygen and» water/steam
C + H2O → CO + H2
OR
3C + O2 + H2O → H2 + 3CO
OR
2C + O2 → 2CO AND C + H2O → H2 + CO
OR
C + O2 → CO2 AND C + CO2 → 2CO AND C + H2O → H2 + CO
M1 requires concept of heat.
[2 marks]
«Fischer-Tropsch» catalytic reduction of carbon monoxide with hydrogen
OR
(2n + 1)H2 + n\(\,\)CO → CnH(2n + 2) + n\(\,\)H2O
OR
reduction of carbon monoxide to methanol AND catalytic dehydration
OR
2H2 + CO + CH3OH AND n\(\,\)CH3OH → CnH2n + n\(\,\)H2O
If equation is given for a specific alkane or alkene, it must be a liquid (n > 4).
[1 mark]
Examiners report
State the characteristics and sources of low-level nuclear waste.
The disposal of nuclear waste in the sea is now banned in many countries. Discuss one method of storing high-level nuclear waste and two problems associated with it.
Markscheme
low activity and short half-life;
materials (e.g. gloves, paper towels, clothes) that have been in proximity to radioactivity / any named source (such as smoke detectors);
methods:
vitrification / encasing in concrete / burying in deep places;
problems: [2 max]
may leak into water table;
remains active for a very long time;
geological instability (e.g. earthquakes);
potential weapon for terrorists;
Examiners report
Few candidates stated both low activity and a short half-life as characteristics of low-level nuclear waste, but many correctly identified sources.
Several candidates lost a mark for the storage of high-level nuclear waste by failing to specify deep burial of the waste. The discussion of problems associated with the storage was answered reasonably well.
Landfill sites are used to dispose of about 90% of the world’s domestic waste, but incineration is being increasingly used in some countries.
Suggest why some biodegradable plastics do not decompose in landfill sites.
High-level and low-level wastes are two types of radioactive waste. Compare the half-lives and the methods of disposal of the two types of waste.
Markscheme
limited supply of oxygen (prevents the bacteria from acting);
Do not accept air.
high-level waste has longer half-life / low-level waste has shorter half-life;
high-level waste is vitrified/made into glass/buried underground/in granite/in deep mines/under water/in steel containers/in cooling ponds / OWTTE;
low-level waste is stored under water/in steel containers/in cooling ponds/filtered/discharged directly into sea / OWTTE;
Accept cooling ponds/steel containers/under water/concrete containers only once.
Examiners report
This was generally well done although few realised that oxygen was needed for the decomposition of the plastics in landfill sites.
This was generally well done although few realised that oxygen was needed for the decomposition of the plastics in landfill sites.
the oil industry surplus long-chain hydrocarbons are converted into shorter, more useful hydrocarbons by various kinds of cracking.
State whether each of the following are examples of homogeneous or heterogeneous catalysis.
Steam cracking:
Catalytic cracking:
Hydrocracking:
Markscheme
Steam cracking:
homogeneous;
Catalytic cracking:
heterogeneous;
Hydrocracking:
heterogeneous;
Examiners report
There were few three-mark answers; perhaps many candidates guessed.
Carbon dioxide, CO2, is a greenhouse gas. Outline, in molecular terms, how carbon dioxide molecules absorb infrared radiation.
Markscheme
bond length/C=O changes
OR
«asymmetric» stretching «of bonds»
OR
bond angle/OCO changes/bends
polarity/dipole «moment» changes
OR
a dipole «moment» is created «when the molecule absorbs IR»
Accept appropriate diagrams.
Examiners report
The temperature of the Earth is increasing. There is considerable scientific evidence to suggest this is due to an increase in the concentration of greenhouse gases as a result of human activity.
Explain how this enhanced greenhouse effect causes the average temperature of the Earth to increase.
Compare the contributions of carbon dioxide and methane to the enhanced greenhouse effect.
Markscheme
incoming solar radiation is short(er) wavelength/high(er) frequency/high(er) energy radiation / UV radiation;
(re-)radiated/emitted (by the Earth’s surface) as long(er) wavelength/low(er) frequency/ low(er) energy/IR radiation;
the energy is absorbed in bonds in greenhouse gases / the molecules vibrate when IR radiation is absorbed;
the energy is (re-)radiated/(re-)emitted as IR radiation;
carbon dioxide is more abundant;
methane is more effective at absorbing IR radiation;
Award [1] for statement that “CO2 is more abundant and CH4 is more effective”
with no mention of “at absorbing IR radiation”.
Accept converse arguments.
Examiners report
It was surprising to see that many candidates could not score full marks in a question on the greenhouse effect which appears often in examination papers. The use of unacceptable language (reflecting, bouncing, trapping, etc.) cost many candidates marks.
Although most knew that carbon dioxide was more abundant, far fewer could clearly express the point about methane being better at absorbing IR radiation.
Lead–acid batteries are heavy. Much lighter rechargeable cells are nickel–cadmium batteries used in electronic equipment.
A fuel cell can be made using an electrolyte of aqueous sodium hydroxide with porous electrodes which allow the passage of water, hydrogen and oxygen. State the equations for the reactions that occur at the positive and negative electrodes.
(+) electrode (cathode):
(–) electrode (anode):
Electricity can also be generated from a lead–acid storage battery. The electrolyte is a solution of sulfuric acid and the electrodes are made of lead and lead(IV) oxide. State the equations for the reactions that occur at the positive and negative electrodes.
(+) electrode (cathode):
(–) electrode (anode):
(i) Explain why fuel cells are less damaging to the environment than nickel–cadmium batteries.
(ii) Other than cost, state one major difference between fuel cells and nickel–cadmium cells.
Markscheme
(+) electrode (cathode): \({{\text{O}}_{\text{2}}} + 2{{\text{H}}_2}{\text{O}} + {\text{4}}{{\text{e}}^ - } \to {\text{4O}}{{\text{H}}^ - }\);
(–) electrode (anode): \({{\text{H}}_2} + {\text{2O}}{{\text{H}}^ - } \to {\text{2}}{{\text{H}}_2}{\text{O}} + {\text{2}}{{\text{e}}^ - }\);
(+) electrode (cathode): \({\text{Pb}}{{\text{O}}_2} + {\text{4}}{{\text{H}}^ + } + {\text{SO}}_4^{2 - } + {\text{2}}{{\text{e}}^ - } \to {\text{PbS}}{{\text{O}}_4} + {\text{2}}{{\text{H}}_2}{\text{O}}\);
(–) electrode (anode): \({\text{Pb}} + {\text{SO}}_4^{2 - } \to {\text{PbS}}{{\text{O}}_4} + {\text{2}}{{\text{e}}^ - }\);
(i) fuel cells produce only water / Cd and Ni are toxic (heavy metals);
(ii) fuel cells can operate continuously/do not need recharging;
fuel cells are more unwieldy/less portable/less self-contained/need supply of \({{\text{O}}_{\text{2}}}\) and \({{\text{H}}_{\text{2}}}\);
Accept opposite statements for NiCd cells.
Examiners report
Very few correct answers were seen in part (a).
Very few correct answers were seen in part (b).
Answers in part (c) clearly indicated the need for deeper studying of this topic.
State the half-equations for the reactions taking place at the negative electrode (anode) and the positive electrode (cathode) in an alkaline hydrogen-oxygen fuel cell.
Negative electrode (anode):
Positive electrode (cathode):
A different type of cell has the half-equation below.
\[{\text{L}}{{\text{i}}^ + }{\text{(polymer)}} + {\text{Mn}}{{\text{O}}_2}{\text{(s)}} + {{\text{e}}^ - } \to {\text{LiMn}}{{\text{O}}_2}{\text{(s)}}\]
Identify this type of cell.
Both fuel cells and rechargeable batteries offer great potential for the future. Compare these two power sources.
Suggest two problems associated with using hydrogen gas in a fuel cell.
Markscheme
Negative electrode (anode):
\({{\text{H}}_2}{\text{(g)}} + {\text{2O}}{{\text{H}}^ - }{\text{(aq)}} \to {\text{2}}{{\text{H}}_2}{\text{O(l)}} + {\text{2}}{{\text{e}}^ - }\);
Positive electrode (cathode):
\({{\text{H}}_2}{\text{O(l)}} + \frac{1}{2}{{\text{O}}_2}{\text{(g)}} + {\text{2}}{{\text{e}}^ - } \to {\text{2O}}{{\text{H}}^ - }{\text{(aq)}}\);
Allow correct equations involving multiple coefficients (i.e. 2H2 etc.).
Ignore state symbols.
Allow e instead of e–.
Award [1 max] for correct equations but at incorrect electrodes.
lithium-ion;
Allow rechargeable.
fuel cells need constant supply of reagents/chemicals (when they produce electricity)
while rechargeable batteries need occasional supply of electricity / OWTTE;
fuel cells fuel supplied continuously while in rechargeable batteries energy stored
inside the batteries / OWTTE;
products must be constantly removed from a fuel cell;
fuel cells (currently) more expensive;
fuel cells made of chemically more inert materials / OWTTE;
(potentially) explosive (gas) / flammable;
must be stored/transported in large/heavy containers;
Examiners report
Most candidates struggled with all parts of this question. Correct relevant equations at the electrodes were given by only a very few candidates in (a).
In (b) about half mentioned Lithium-ion.
In (c) many candidates were not able to compare fuel cells and rechargeable batteries. Some managed to score M1.
In (d) many candidates stated the H2(g) is dangerous but did not explain why. Some scored M1, but no candidate scored the second mark regarding the storing and transporting of H2(g).
The high activity of lithium metal leads to the formation of an oxide layer on the metal which decreases the contact with the electrolyte in a battery.
Describe how this is overcome in the lithium-ion battery.
Describe the migration of ions taking place at the two electrodes in the lithium-ion battery when it produces electricity.
Anode (–):
Cathode (+):
Discuss one similarity and one difference between fuel cells and rechargeable batteries.
Similarity:
Difference:
Markscheme
contains no lithium/metal / uses lithium salt in an organic solvent (as electrolyte);
involves movement of lithium ions (between electrodes);
Anode (–):
\({\text{Li}}{{\text{C}}_{\text{6}}} \to {\text{L}}{{\text{i}}^ + } + {\text{6C}} + {{\text{e}}^ - }/{\text{L}}{{\text{i}}^ + }\) ions dissociate from anode (and migrate to cathode);
Cathode (+):
\({\text{L}}{{\text{i}}^ + } + {{\text{e}}^ - } + {\text{Mn}}{{\text{O}}_{\text{2}}} \to {\text{LiMn}}{{\text{O}}_{\text{2}}}\) / \({\text{L}}{{\text{i}}^ + } + {{\text{e}}^ - } + {\text{Co}}{{\text{O}}_{\text{2}}} \to {\text{LiCo}}{{\text{O}}_{\text{2}}}\) / \({\text{L}}{{\text{i}}^ + } + {{\text{e}}^ - } + {\text{FeP}}{{\text{O}}_{\text{4}}} \to {\text{LiFeP}}{{\text{O}}_{\text{4}}}\) / \({\text{L}}{{\text{i}}^ + } + {{\text{e}}^ - } + {\text{Ni}}{{\text{O}}_{\text{2}}} \to {\text{LiNi}}{{\text{O}}_{\text{2}}}\) / \({\text{L}}{{\text{i}}^ + }\) ions are inserted into metal oxide/phosphate (structure);
Award [1] if electrodes are reversed.
Similarity:
both convert chemical energy directly into electrical energy / both use spontaneous redox reactions (to produce energy) / both are electrochemical cells/voltaic cells/galvanic cells;
Difference:
fuel cells are energy conversion devices and rechargeable batteries are energy storage devices / fuel cells require constant supply of reactants and batteries have stored chemical energy/provide power until stored chemicals are used up / batteries can be recharged and fuel cells do not need recharging (have a continuous supply of fuel) / fuel cells are more expensive than rechargeable batteries / the reactions in a rechargeable battery are reversible and in a fuel cell are not;
Examiners report
Only the better candidates described how the lithium-ion battery overcomes the reactivity of lithium.
The description of the migration of ions was poor.
The similarity and difference of fuel cells and rechargeable cells had better resposes.
Carbon dioxide, methane, ozone, chlorofluorocarbons (CFCs) and water are examples of greenhouse gases.
Describe how these gases contribute to the greenhouse effect.
(i) Identify by chemical formula one other greenhouse gas not mentioned above.
(ii) State the source of this gas.
Many scientists claim that global warming is associated with the increasing concentration of greenhouse gases in the atmosphere. Other than temperature change, state two effects of global warming.
Markscheme
greenhouse gases are transparent to/allow passage of short(er)-wavelength/high(er)-energy radiation/UV light from the Sun / OWTTE;
greenhouse gases absorb long(er)-wavelength/IR radiation from the Earth / OWTTE;
(part of) absorbed radiation is re-radiated back to the Earth / OWTTE;
Do not accept reflected or trapped.
Award [2] for any of the following combinations:
(i) \({{\text{N}}_{\text{2}}}{\text{O}}\);
(ii) combustion/burning of biomass / nitrogenous/artificial/synthetic fertilizers / bacterial action;
OR
(i) \({\text{S}}{{\text{F}}_{\text{6}}}\);
(ii) electronics industry / electrical switches / production of magnesium / gas-insulated substations;
OR
(i) \({\text{N}}{{\text{F}}_{\text{3}}}\);
(ii) electronics industry / manufacture of semi-conductors / LCDs/liquid-crystal displays / thin-film solar cells / solar panels / chemical lasers;
OR
(i) \({\text{S}}{{\text{F}}_{\text{5}}}{\text{C}}{{\text{F}}_{\text{3}}}\);
(ii) (by-product from SF\(_6\) in) high-voltage equipment / discharge / by-product of fluorochemical manufacture;
Award [1] for any two of the following:
melting of polar ice-caps/glaciers;
changes in yield and distribution of crops / changes in agriculture/biodiversity / changes in habitats;
droughts / desertification / flooding / decreased water quality due to flooding / lack of fresh drinking water / changes in precipitation;
Allow climate change.
rising sea-levels / thermal expansion of oceans / decreased dissolved oxygen / changes in distribution of pests and disease-carrying organisms / increased spread of diseases by insects/mosquitos moving to new areas / chance of malaria;
Examiners report
Many candidates struggled with this question; they discussed the destruction of ozone instead of the greenhouse effect. Responses indicated poor understanding of the role of UV and IR and the terms trapped and reflected were often used to explain the role of greenhouse gases. Some candidates neglected to properly discuss how the energy (UV) enters the atmosphere through the gases and how the energy (IR) is absorbed from the Earth (not the sun) and re-radiated back to the Earth. Very few candidates scored 3 marks for part (a). Candidates also struggled with identifying other greenhouse gases for part (b). Many listed the gases in the stem that they were directed not to use; many incorrect gases were identified (CO, \({\text{N}}{{\text{O}}_{\text{2}}}\), \({\text{S}}{{\text{O}}_{\text{2}}}\), \({\text{S}}{{\text{O}}_{\text{3}}}\)). Majority of the candidates failed to score the two marks. Candidates demonstrated a good understanding of the effects of global warming, scoring the mark for part (c).
Many candidates struggled with this question; they discussed the destruction of ozone instead of the greenhouse effect. Responses indicated poor understanding of the role of UV and IR and the terms trapped and reflected were often used to explain the role of greenhouse gases. Some candidates neglected to properly discuss how the energy (UV) enters the atmosphere through the gases and how the energy (IR) is absorbed from the Earth (not the sun) and re-radiated back to the Earth. Very few candidates scored 3 marks for part (a). Candidates also struggled with identifying other greenhouse gases for part (b). Many listed the gases in the stem that they were directed not to use; many incorrect gases were identified (CO, \({\text{N}}{{\text{O}}_{\text{2}}}\), \({\text{S}}{{\text{O}}_{\text{2}}}\), \({\text{S}}{{\text{O}}_{\text{3}}}\)). Majority of the candidates failed to score the two marks. Candidates demonstrated a good understanding of the effects of global warming, scoring the mark for part (c).
Many candidates struggled with this question; they discussed the destruction of ozone instead of the greenhouse effect. Responses indicated poor understanding of the role of UV and IR and the terms trapped and reflected were often used to explain the role of greenhouse gases. Some candidates neglected to properly discuss how the energy (UV) enters the atmosphere through the gases and how the energy (IR) is absorbed from the Earth (not the sun) and re-radiated back to the Earth. Very few candidates scored 3 marks for part (a). Candidates also struggled with identifying other greenhouse gases for part (b). Many listed the gases in the stem that they were directed not to use; many incorrect gases were identified (CO, \({\text{N}}{{\text{O}}_{\text{2}}}\), \({\text{S}}{{\text{O}}_{\text{2}}}\), \({\text{S}}{{\text{O}}_{\text{3}}}\)). Majority of the candidates failed to score the two marks. Candidates demonstrated a good understanding of the effects of global warming, scoring the mark for part (c).
It is now widely accepted that the increased production of carbon dioxide is leading to global warming.
Describe how carbon dioxide acts as a greenhouse gas.
Discuss the influence of increasing amounts of greenhouse gases on the environment.
Markscheme
long wavelength / infrared/IR radiation from Earth’s surface (some of this radiation) is absorbed (by gas);
Do not accept “trapped” or blocked.
Do not award mark for “IR from sun”.
causes (increased) vibration in bonds;
re-radiates heat back to the Earth;
Accept “re-transmits”
Do not accept “reflects/bounces”.
melting of polar ice caps/glaciers melting;
thermal expansion of oceans / rise in sea levels / coastal flooding;
stated effect on agriculture (e.g. crop yields changed);
changes in flora/plant/fauna/animal/insect distribution/biodiveristy;
Accept specific example.
stated effect on climate (e.g. drought / increased rainfall / desertification);
Do not accept “climate change” alone.
Do not allow “increased temperature/global warming” (given in question).
Award [1] each for any three.
Examiners report
As in previous sessions, most answers revealed that candidates are much better at describing the effects of greenhouse gases than explaining their interaction with different forms of radiation. Many candidates lost marks in (a) due to imprecise responses.
The earth “reflects” and CO2 "traps" were, as in previous sessions, all too common responses.
(a) Explain why the nitrogen molecule, \({{\text{N}}_2}\), does not absorb infrared radiation.
(b) Describe two vibrations in the water molecule that absorb infrared radiation.
Markscheme
(a) no change in dipole moment (bond polarity);
as vibration/stretching occurs;
Ignore bending if included.
(b) symmetrical stretching;
asymmetrical stretching;
bending;
Accept diagrams of the water molecules which illustrate the bending and stretching.
Allow [1] for stretching alone.
Examiners report
Generally well done, though in part (a) many candidates discussed the polarity of the molecule rather than whether the dipole moment would change when it vibrated; indeed many seemed to think that because it was non-polar it could not vibrate! The various bending and stretching modes of the water molecule appeared to be well known.
Rechargeable nickel-cadmium batteries are used in portable electrical equipment and emergency lighting.
The discharge process can be summarized by the equation below.
\[{\text{2NiO(OH)(s)}} + {\text{Cd(s)}} + {\text{2}}{{\text{H}}_{\text{2}}}{\text{O(l)}} \rightleftharpoons {\text{2Ni(OH}}{{\text{)}}_{\text{2}}}{\text{(s)}} + {\text{Cd(OH}}{{\text{)}}_{\text{2}}}{\text{(s)}}\]
State the change in oxidation number of the cadmium and deduce if it is acting as the positive or negative electrode during the discharge process.
Identify a physical property of Cd(OH)2 which allows this process to be reversed and the battery recharged.
Markscheme
\(0 \to + 2\) / increase by 2;
negative;
If decrease by 2, positive, award [1]. If decrease by 2, negative, award [0].
insoluble (\({\text{C}}{{\text{d}}^{2 + }}\) ions do not escape into solution);
Do not accept solid.
Examiners report
Most candidates were able to identify the change of oxidation number of cadmium but very few identified the insolubility of cadmium hydroxide as the physical property which allows the process to be reversed.
Most candidates were able to identify the change of oxidation number of cadmium but very few identified the insolubility of cadmium hydroxide as the physical property which allows the process to be reversed.
Cracking is the process by which long-chain alkanes found in oil are broken down into smaller molecules.
The following reaction occurs during the cracking of tetradecane, \({{\text{C}}_{{\text{14}}}}{{\text{H}}_{{\text{30}}}}\).
\[{{\text{C}}_{14}}{{\text{H}}_{30}}{\text{(g)}} \to {{\text{C}}_{10}}{{\text{H}}_{22}}{\text{(g)}} + {\text{2}}{{\text{C}}_2}{{\text{H}}_4}{\text{(g)}}\]
Suggest a use for each of the products formed in the reaction.
\({{\text{C}}_{{\text{10}}}}{{\text{H}}_{{\text{22}}}}\):
\({{\text{C}}_{\text{2}}}{{\text{H}}_{\text{4}}}\):
State the main type of product obtained from steam cracking.
Catalytic cracking uses silica as a heterogeneous catalyst. Explain the mode of action of a heterogeneous catalyst.
State one advantage of using a heterogeneous catalyst rather than a homogeneous catalyst.
Discuss two factors that need to be considered when choosing a catalyst for a process.
Markscheme
C10H22: gasoline/petrol / fuel / kerosene;
Do not allow just combustion or cars.
Allow gas for cars/automobiles instead of gasoline but not gas alone.
C2H4: chemical feedstock / OWTTE;
Accept suitable example such as manufacturing plastics/polymers but not just plastics.
alkenes;
solid surface has active sites / reactants adsorb on solid surface;
Do not accept absorb instead of adsorb.
brings reactants close together in correct orientation;
weakens reactant bonds / reactants bonds are easier to break;
can be easily removed/filtered from reaction mixture / large amount of reactant molecules pass over catalyst that is in a fixed position / can be used at high temperatures;
selectivity to produce (a high yield of) the desired product / OWTTE;
extent to which rate of reaction is increased/Ea is lowered;
amount of reactant converted to product per amount of catalyst;
Accept efficiency / conversion rate.
ability to work under different/a range of conditions;
environmental/health impact;
catalytic poisoning / active sites become blocked;
cost in relation to life expectancy / OWTTE;
ease of removal from reaction mixture;
Examiners report
Less than half of the candidates knew the uses of the products of cracking in (a) and very few candidates knew the product of steam cracking in (b).
Less than half of the candidates knew the uses of the products of cracking in (a) and very few candidates knew the product of steam cracking in (b).
The mode of action of heterogeneous catalysts was also not well answered. The majority of candidates wrote about catalysts in general gaining no marks on part (c).
Parts (d) and (e) about the advantage of heterogeneous catalysts over homogeneous catalysts, and factors to be considered when selecting a catalyst were well answered by the majority of candidates.
Parts (d) and (e) about the advantage of heterogeneous catalysts over homogeneous catalysts, and factors to be considered when selecting a catalyst were well answered by the majority of candidates.
Radioactive waste must be disposed of with care.
State what is meant by the term high-level radioactive waste.
(i) Explain why high-level waste should not be disposed of by landfill or incineration.
(ii) State the name of one method of disposal used for high-level waste and explain why such a method is better than landfill and incineration.
Markscheme
highly radioactive;
(i) landfill not advisable because radioactivity can leach/escape/leak (from rain water) / OWTTE;
incineration spreads radioactivity / OWTTE;
(ii) glasification / synroc / vitrification;
locks up radioactivity for the long term;
OR
ion exchange;
concentrates radioactive material for further treatment;
OR
transmutation;
waste is turned into safer isotopes;
Examiners report
Many candidates were able to score marks in (a) and (b)(i), but in (b)(ii) they could not clearly state the name and explain why the method of disposal of high-level waste is better.
Many candidates were able to score marks in (a) and (b)(i), but in (b)(ii) they could not clearly state the name and explain why the method of disposal of high-level waste is better.
The main ore used to produce aluminium by electrolysis is bauxite. Bauxite is mainly aluminium hydroxide, and contains iron(III) oxide and titanium(IV) oxide as impurities.
Explain how pure aluminium oxide is obtained from bauxite.
Explain why sodium hexafluoroaluminate, \({\text{N}}{{\text{a}}_{\text{3}}}{\text{Al}}{{\text{F}}_{\text{6}}}\), (cryolite) is added to the aluminium oxide before electrolysis takes place to produce aluminium.
State the half-equations for the reactions taking place at the positive and negative electrodes during the production of aluminium by electrolysis.
Positive electrode (anode):
Negative electrode (cathode):
Before the introduction of the electrolytic method by Hall and Héroult in the 1880s it was very difficult to obtain aluminium metal from its ores. Suggest one way in which it was achieved.
The worldwide production of aluminium by electrolysis makes a significant impact on global warming. Suggest two different ways in which the process increases the amount of carbon dioxide in the atmosphere.
Markscheme
(bauxite) is reacted with (concentrated) sodium hydroxide/NaOH (solution at high temperature);
forms sodium aluminate / \({\text{Al(OH}}{{\text{)}}_3} + {\text{O}}{{\text{H}}^ - } \to {\text{Al(OH)}}_4^ - \);
Accept both ionic and non-ionic equations and different, correct representations of the aluminate ion (Al(OH )4–, AlO2–).
solution is filtered / insoluble impurities removed (by filtration);
reaction reversed by cooling / diluting solution / adding water;
Accept passing CO2 through the solution.
mixture seeded with alumina crystals;
pure hydroxide precipitated / \({\text{Al(OH)}}_4^ - \to {\text{Al (OH}}{{\text{)}}_3} + {\text{O}}{{\text{H}}^ - }\);
Accept both ionic and non-ionic equations and different, correct representations of the aluminate ion (Al(OH)4–, AlO2–).
(pure) \({\text{Al(OH}}{{\text{)}}_3}\) heated / \({\text{2Al(OH}}{{\text{)}}_3} \to {\text{A}}{{\text{l}}_2}{{\text{O}}_3} + {\text{3}}{{\text{H}}_2}{\text{O}}\);
Award [1 max] for “Alumina is soluble in alkali, but impurities are not” / OWTTE.
Ignore state symbols.
melting point of the cryolite solution is much lower than the melting point of alumina/Al2O3 / it lowers the melting point (of the mixture);
Do not allow lowers melting point of aluminium.
Do not allow lowers required/operating temperature.
Accept improves conductivity of the electrolyte/aluminium oxide.
Positive electrode (anode):
\({\text{2}}{{\text{O}}^{2 - }} \to {{\text{O}}_2} + {\text{4}}{{\text{e}}^ - }/{{\text{O}}^{2 - }} \to \frac{1}{2}{{\text{O}}_2} + {\text{2}}{{\text{e}}^ - }/{\text{C}} + {\text{2}}{{\text{O}}^{2 - }} \to {\text{C}}{{\text{O}}_2} + {\text{4}}{{\text{e}}^ - }\);
Negative electrode (cathode):
\({\text{A}}{{\text{l}}^{3 + }} + {\text{3}}{{\text{e}}^ - } \to {\text{Al}}\);
Allow e instead of e–.
Accept multiples of the correct equations, such as 2Al3+ + 6e– \( \to \) 2Al .
Award [1 max] if correct equations but at wrong electrodes.
Ignore state symbols.
by reduction with a more reactive metal/metal above Al in electrochemical
series/ECS/reactivity series / OWTTE;
Accept equations for displacement reactions of Al2O3 with more reactive metals.
graphite/carbon electrodes converted/oxidized (into CO2);
the fossil fuels used to provide energy/transport (produce CO2);
Examiners report
This question was probably the worst answered question on the whole paper. In the first section many candidates confused the purification process with the electrolytic extraction and answers that scored any marks were rare. Many candidates knew the reasons for the addition of cryolite, but it was unusual to find both electrode equations correct and balanced. Hardly any had the lateral thinking skills to suggest displacement by a more reactive metal as a possible way of obtaining aluminium, but most students knew of at least one way in which aluminium production resulted in the emission of carbon dioxide.
This question was probably the worst answered question on the whole paper. In the first section many candidates confused the purification process with the electrolytic extraction and answers that scored any marks were rare. Many candidates knew the reasons for the addition of cryolite, but it was unusual to find both electrode equations correct and balanced. Hardly any had the lateral thinking skills to suggest displacement by a more reactive metal as a possible way of obtaining aluminium, but most students knew of at least one way in which aluminium production resulted in the emission of carbon dioxide.
This question was probably the worst answered question on the whole paper. In the first section many candidates confused the purification process with the electrolytic extraction and answers that scored any marks were rare. Many candidates knew the reasons for the addition of cryolite, but it was unusual to find both electrode equations correct and balanced. Hardly any had the lateral thinking skills to suggest displacement by a more reactive metal as a possible way of obtaining aluminium, but most students knew of at least one way in which aluminium production resulted in the emission of carbon dioxide.
This question was probably the worst answered question on the whole paper. In the first section many candidates confused the purification process with the electrolytic extraction and answers that scored any marks were rare. Many candidates knew the reasons for the addition of cryolite, but it was unusual to find both electrode equations correct and balanced. Hardly any had the lateral thinking skills to suggest displacement by a more reactive metal as a possible way of obtaining aluminium, but most students knew of at least one way in which aluminium production resulted in the emission of carbon dioxide.
This question was probably the worst answered question on the whole paper. In the first section many candidates confused the purification process with the electrolytic extraction and answers that scored any marks were rare. Many candidates knew the reasons for the addition of cryolite, but it was unusual to find both electrode equations correct and balanced. Hardly any had the lateral thinking skills to suggest displacement by a more reactive metal as a possible way of obtaining aluminium, but most students knew of at least one way in which aluminium production resulted in the emission of carbon dioxide.
One type of molecular vibration that occurs when \({\text{C}}{{\text{O}}_{\text{2}}}\) molecules are exposed to IR radiation is illustrated in the diagram below.

Identify two other types of molecular vibrations that occur when \({\text{C}}{{\text{O}}_{\text{2}}}\) molecules are exposed to IR radiation. Illustrate your answer with appropriate diagrams.
Markscheme

Award [1] for stretching and bending without diagrams.
Award [1] for clearly illustrated diagrams without mention of stretching and bending.
Do not penalize if single lines drawn between atoms.
Examiners report
This part was answered generally very well, with little evidence of misunderstanding the chemistry involved.
Climate change is a current global topic of debate.
Water and carbon dioxide are greenhouse gases present in significant quantities in the atmosphere. Identify one other greenhouse gas and its source.
Suggest the two factors that influence the relative greenhouse effect of a gas.
Markscheme
Any one of:

Do not accept other gases such as SOx and NOx – generally reckoned to be insignificant.
Any two for [1] of:
abundance/concentration (in atmosphere)
strength/intensity/power of IR absorbance / ability to absorb heat radiation
lifetime/duration / rate of depletion/decomposition in atmosphere;
Examiners report
Many candidates identified another greenhouse gas with methane and CFCs being the most popular answers.
Most candidates identified abundance as a factor which influences the relative greenhouse effect of a gas but failed to identify a second factor. Few candidates were able to clearly articulate the effect and the consequences of increasing amounts of greenhouse gases. In addition, there was often confusion with ozone depletion and acid rain.
Many candidates identified another greenhouse gas with methane and CFCs being the most popular answers.
Most candidates identified abundance as a factor which influences the relative greenhouse effect of a gas but failed to identify a second factor. Few candidates were able to clearly articulate the effect and the consequences of increasing amounts of greenhouse gases. In addition, there was often confusion with ozone depletion and acid rain.
Describe how the greenhouse effect causes the atmosphere of the Earth to increase in temperature.
Identify one greenhouse gas other than \({\text{C}}{{\text{O}}_{\text{2}}}\) and \({{\text{H}}_{\text{2}}}{\text{O}}\) and suggest a significant source.
Markscheme
incoming solar radiation is short wavelength/high frequency/higher energy/UV;
(re-)radiated/emitted (by Earth’s surface) as long wavelength/low frequency/low energy/IR radiation;
energy absorbed by (bonds in) greenhouse gases / molecules vibrate when IR radiation absorbed;
energy (re-)radiated/(re-)emitted as IR radiation some of which returns back to Earth;
Do not accept reflected, bounced or trapped.
\({\text{C}}{{\text{H}}_{\text{4}}}\) / methane;
decomposition of organic matter / livestock/ruminant/cows/sheep / manure / swamps/marshes / rice paddies / oil/gas field / anaerobic microbial activity in lakes/ponds / composting;
OR
\({{\text{N}}_{\text{2}}}{\text{O}}\) / nitrogen(I) oxide/dinitrogen monoxide/nitrous oxide;
bacterial decomposition/action / combustion/burning of biomass / artificial/nitrogeneous/synthetic fertilizers;
OR
CFCs / chlorofluorocarbons;
solvents / production of polymers / refrigerants / foaming agents / propellants/aerosols / air conditioning units;
OR
\({\text{S}}{{\text{F}}_{\text{6}}}\) / sulfur hexafluoride;
electronics industry / high voltage/electrical switches / circuit breakers / electrical generators / insulator used in electrical industrial applications/gas-insulated substations / production of magnesium / OWTTE;
Accept any other correct answers such as “nitrogen trifluoride/NF3 used in electronics industry / manufacture of semi-conductors/computer chips/circuits / (thin-film) solar/photovoltaic cells / solar panels / LCD televisions / chemical lasers” OR “trifluoromethyl sulfur pentafluoride/SF5CF3 formed (as by-product from SF6) in high-voltage equipment / by-product of fluorochemical manufacture”.
M2 can only be scored if M1 correct.
Examiners report
The greenhouse effect has been asked on several occasions in the past and there have been widespread references to the performance of candidates on this question in previous subject reports. Hence it was extremely disappointing and surprising to see such poor answers.
Journalistic type answers were common and vague terminology such as bounced and reflected were often used. In addition answers were sometimes unclear – for example some candidates did not mention incoming solar radiation and just blankly alluded to the involvement of UV rays. In contrast (b) was well answered. The most common mistake involved candidates stating \({\text{N}}{{\text{O}}_{\text{2}}}\) instead of \({{\text{N}}_{\text{2}}}{\text{O}}\), a classic mistake on IB Chemistry papers.
The greenhouse effect has been asked on several occasions in the past and there have been widespread references to the performance of candidates on this question in previous subject reports. Hence it was extremely disappointing and surprising to see such poor answers.
Journalistic type answers were common and vague terminology such as bounced and reflected were often used. In addition answers were sometimes unclear – for example some candidates did not mention incoming solar radiation and just blankly alluded to the involvement of UV rays. In contrast (b) was well answered. The most common mistake involved candidates stating \({\text{N}}{{\text{O}}_{\text{2}}}\) instead of \({{\text{N}}_{\text{2}}}{\text{O}}\), a classic mistake on IB Chemistry papers.
The temperature of the Earth’s surface is currently increasing. Many scientists attribute this to an increase in the levels of greenhouse gases in the atmosphere as a result of human activity.
Explain how the interaction of greenhouse gases in the atmosphere with radiation could lead to an increase in the temperature of the Earth’s surface.
Suggest why carbon dioxide is the greenhouse gas most frequently connected with the effect of human activity.
Other than carbon dioxide and water, identify one other greenhouse gas and state its source.
Markscheme
shorter wavelength/UV/high energy radiation from sun passes through;
long wavelength/infrared/IR radiation from Earth’s surface (some of this radiation) is absorbed (by gas);
Do not accept “trapped” or “blocked”.
Do not accept “IR from sun”.
causes (increased) vibration in bonds;
re-radiates heat back to the Earth;
Do not accept “reflects/bounces”.
higher concentration / more abundant/increased combustion of fossil fuels (than other anthropogenic sources);
methane/\({\text{C}}{{\text{H}}_{\text{4}}}\);
decomposition of organic matter / animals / oil fields / gas fields / intensive farming / landfills;
OR
dinitrogen monoxide/nitrous oxide/\({{\text{N}}_{\text{2}}}{\text{O}}\);
Do not accept NOx, NO, NO2, nitrogen oxides.
decomposition of organic matter/fertilizers;
OR
ozone/\({{\text{O}}_{\text{3}}}\);
photochemical smog;
OR
CFCs;
aerosol cans / air conditioners / solvents / foam production / refrigerants;
OR
sulfur hexafluoride/\({\text{S}}{{\text{F}}_{\text{6}}}\);
electrical insulator;
OR
nitrogen trifluoride/\({\text{N}}{{\text{F}}_{\text{3}}}\);
production of electronic components;
[1] for any correct gas and [1] for the corresponding source.
Examiners report
There seems to be a very poor understanding of the interaction of greenhouse gases with radiation although this question has frequently appeared in the examinations. A surprising number quoted ozone depletion and the use of terms often used in the media e.g. “trapped”, “bounces”.
In part (b), the candidates failed to state the increased combustion of fossil fuels.
Although the question stated “other than carbon dioxide and water identify one other green house gas”, many candidates identified \({\text{C}}{{\text{O}}_{\text{2}}}\) and \({{\text{H}}_{\text{2}}}{\text{O}}\).
Disposal of radioactive waste is a major ecological concern.
(a) State one source of low-level radioactive waste and one source of high-level radioactive waste.
Low-level waste:
High-level waste:
(b) Consider the following types of radioactive waste.

Identify which method can be used for the disposal of radioactive wastes A, B and C.
(i) Vitrification followed by long-term underground storage:
(ii) Storage in a non-shielded container for two months followed by the disposal as normal (non-radioactive) waste:
(iii) Ion-exchange and adsorption on iron(II) hydroxide, storage in a shielded container for 50 years, then mixing with concrete and shallow land burial:
Markscheme
(a) Low-level waste:
hospitals/radiotherapy/radiodiagnostics / food/seed/plant irradiators / smoke detectors / research laboratories / oil/coal/natural gas processing/burning/survey / uranium mill tailings / (supporting processes of) nuclear fuel cycle;
High-level waste:
(main processes of) nuclear fuel cycle / nuclear weapons / radioisotope thermoelectric generators;
Accept more specific processes/devices/etc. for both high and low level waste.
Do not accept radioactive elements/isotopes without references to their sources.
(b) (i) C;
(ii) A;
(iii) B;
Examiners report
This question was generally well answered, though on occasion candidates failed to be specific enough about the sources of nuclear waste. In the second part, many confused the preferred techniques of disposal for high level wastes with long and short half-lives.
“Oil should not be used as a source of energy because it has more important uses.” Suggest two arguments that support the continued use of oil as an energy source, and two against.
Markscheme
Arguments for: [2 max]
high energy content / high enthalpy of combustion;
shortage of alternatives;
alternatives are expensive / oil relatively cheap;
well-established technology;
easy to store;
easy to transport;
produces energy at a reasonable rate;
Arguments against: [2 max]
chemical feedstock of limited supply/OWTTE;
non-renewable;
combustion causes global warming/greenhouse gases;
combustion produces acidic gases;
Apply OWTTE throughout.
Examiners report
Candidates tended to provide vague, journalist answers rather than provide specific points to score the marks, e.g. candidates would suggest ‘pollution’ as an argument against without being specific.
Vegetable oils, such as that shown, require conversion to biodiesel for use in current internal combustion engines.
State two reagents required to convert vegetable oil to biodiesel.
Deduce the formula of the biodiesel formed when the vegetable oil shown is reacted with the reagents in (a).
Explain, in terms of the molecular structure, the critical difference in properties that makes biodiesel a more suitable liquid fuel than vegetable oil.
Determine the specific energy, in kJ\(\,\)g−1, and energy density, in kJ\(\,\)cm−3, of a particular biodiesel using the following data and section 1 of the data booklet.
Density = 0.850 g\(\,\)cm−3; Molar mass = 299 g\(\,\)mol−1;
Enthalpy of combustion = 12.0 MJ\(\,\)mol−1.
Markscheme
methanol
OR
ethanol
strong acid
OR
strong base
Accept “alcohol”.
Accept any specific strong acid or strong base other than HNO3/nitric acid.
[3 marks]
CH3(CH2)16COOCH3 / CH3OCO(CH2)16CH3
OR
CH3(CH2)16COOC2H5 / C2H5OCO(CH2)16CH3
Product must correspond to alcohol chosen in (a), but award mark for either structure if neither given for (a).
[1 mark]
lower viscosity
weaker intermolecular/dispersion/London/van der Waals’ forces
OR
smaller/shorter molecules
Accept “lower molecular mass/Mr” or “lower number of electrons”.
Accept converse arguments.
[2 marks]
Specific energy: «\( = \frac{{12\,000{\text{ kJ}}\,{\text{mo}}{{\text{l}}^{ - 1}}}}{{299{\text{ g}}\,{\text{mo}}{{\text{l}}^{ - 1}}}}\)» = 40.1 «kJ g−1»
Energy density: «= 40.1 kJ\(\,\)g−1 x 0.850 g\(\,\)cm−3» = 34.1 «kJ\(\,\)cm−3»
Award [1] if both are in terms of a unit other than kJ (such as J or MJ).
[2 marks]
Examiners report
Biofuels are renewable energy sources derived mainly from plants.
State the equation for the complete transesterification of the triglyceride given below with methanol.
Outline why the fuel produced by the reaction in (a) is more suitable for use in diesel engines than vegetable oils.
Markscheme
methyl ester formula AND glycerol formula
correct balancing
Award M2 only if M1 is correct.
«methyl esters have» low«er» viscosity/surface tensions
OR
«methyl esters have» high«er» volatility
OR
«combustion of vegetable oils» produces carbon deposits in engine/reduces engine life
Accept converse arguments.
Examiners report
Suggest why the temperature decrease of the Earth’s surface after sunset is less when the weather is cloudy than when there are no clouds.
Markscheme
infrared/IR radiation emitted by (warm) Earth;
water in clouds is a greenhouse gas / O-H bonds(in water) absorb infrared/IR radiation;
Infrared/IR radiation is absorbed and re-radiated by water (less total loss of IR);
Award [1 max] for discussing clouds acting as heat insulators.
Examiners report
Some candidates related the effect to the water in the clouds and its action as a greenhouse gas. Many candidates gave answers that did not acknowledge that it was after sunset. Some of the descriptions of the greenhouse effect lacked the detail required by the markscheme.
Increasing concentrations of greenhouse gases are considered to cause global warming. Ozone depletion is another environmental concern.
Identify a gas that is both a greenhouse gas and a cause of ozone depletion.
Markscheme
specific CFC compound;
Accept CFC/chlorofluorocarbon.
Allow water vapour.
Examiners report
Few candidates gave a CFC compound in part (a). Candidates were more familiar with the impact of global warming than they were with the impact of ozone depletion.
Atmospheric carbon dioxide and aqueous carbon dioxide in the oceans form a heterogeneous equilibrium.
Explain the effect of increasing concentrations of atmospheric carbon dioxide on the pH of the oceans, including an equation in your answer.
Markscheme
CO2(g)+H2O(l) H+(aq)+HCO3-(aq)
OR
CO2(g)CO2(aq) AND CO2(aq)+H2O(l)
H+(aq)+HCO3-(aq)
«increasing [CO2]» shifts equilibrium/reaction to right
pH decreases
Accept “H2CO3 (aq)” for “CO2 (aq) + H2O(l)”.
Examiners report
Explain what occurs at a molecular level during the absorption of infrared (IR) radiation by the sulfur dioxide molecule, \({\text{S}}{{\text{O}}_{\text{2}}}\).
Consider the IR spectra of the following three compounds.
\[\begin{array}{*{20}{l}} {{\text{A}} = {\text{C}}{{\text{H}}_{\text{3}}}{{{\text{(C}}{{\text{H}}_{\text{2}}}{\text{)}}}_{\text{3}}}{\text{COOH}}} \\ {{\text{B}} = {\text{C}}{{\text{H}}_{\text{3}}}{\text{COOC(C}}{{\text{H}}_{\text{3}}}{{\text{)}}_{\text{3}}}} \\ {{\text{C}} = {{{\text{(C}}{{\text{H}}_{\text{3}}}{\text{C}}{{\text{H}}_{\text{2}}}{\text{)}}}_{\text{3}}}{\text{COH}}} \end{array}\]

Determine which IR spectrum corresponds to each compound A, B and C. Explain your reasoning. IR data can be found in Table 17 of the Data Booklet.

Markscheme
(O–S–O) bond angle changes;
(S–O) bond (length) stretches;
Allow [1] for S–O bond vibrations if neither of the above points are scored.
A is Spectrum I and B is Spectrum III and C is Spectrum II;
A Spectrum I:
only spectrum with a (broad) peak in the range \({\text{2500–3300 (c}}{{\text{m}}^{ - 1}}{\text{)}}\) corresponding to the carboxylic acid functional group / –OH in carboxylic acid / H-bonding in carboxylic acid (so must be a carboxylic acid);
B Spectrum III:
peak in the range \({\text{1700–1750 (c}}{{\text{m}}^{ - 1}}{\text{)}}\) corresponding to the carbonyl/C=O group;
but no peak for O–H/no peak at \({\text{2500–3300 (c}}{{\text{m}}^{ - 1}}{\text{)}}\) or \({\text{3200–3600 (c}}{{\text{m}}^{ - 1}}{\text{)}}\);
C Spectrum II:
peak in the range \({\text{3200–3600 (c}}{{\text{m}}^{ - 1}}{\text{)}}\) corresponding to the alcohol functional group/OH / the only one without a peak at \({\text{1700–1750 (c}}{{\text{m}}^{ - 1}}{\text{)}}\) corresponding to a carbonyl/C=O group;
Examiners report
For part (b) candidates often missed discussing the change of dipole moment.
Part (d) illustrated candidates’ ability at linking wave numbers from IR spectra to correct bonds but they did not always provide adequate explanations for their choices.
There has been a shift in the use of crude oil (petroleum) away from its use as an energy source and towards its use as a chemical feedstock.
Suggest two reasons for this shift.
A lot of feedstock is used in the production of plastics. Discuss two advantages and one disadvantage of using plastic for packaging instead of cardboard.
Two advantages:
One disadvantage:
Markscheme
increasing cost of oil (relative to other energy sources);
limited supply (of petroleum);
other sources of energy available / alternative energy sources;
(use as a raw material) reduces/delays greenhouse gas/global warming/climate change problems;
concerns about greenhouse gases/climate change causing changes in behaviour / OWTTE;
Do not accept just “greenhouse gases/climate change”;
products from raw materials can be recycled / fuels cannot be recycled;
increasing demand as raw material from continued economic growth/demand for wider variety of products;
more profit to be made (by using as raw material);
reduced availability of other sources of hydrocarbons;
Accept political factors, such as “conflicts disrupting production”.
Advantages:
Any two for [2 max] of:
waterproof so strong when wet;
can be transparent so contents can be seen;
better insulates the item it is packing if expanded plastic/bubble wrap used;
can be vacuum sealed to exclude air/keep food fresh;
better protection against knocks as it can be moulded to fit the item;
Disadvantages:
Any one of:
uses valuable petroleum resources which are non-renewable;
(may) not be burned safely because toxic gases are produced;
(may) not be bio-degradable/recyclable so will linger in landfill;
Accept other valid answers for both advantages and disadvantages.
Each answer must be qualified.
Examiners report
Many candidates did achieve at least one mark, usually referring to the increasing demand of crude oil as a raw material linked to demand for wider variety of products. Any other reasons were often inadequately communicated. There were many responses referring to the ‘production of greenhouse gases’ with no further qualification with respect to the shift in behaviour. The second part of this question produced answers which often failed to precisely address the advantages and disadvantages of the use of plastics versus cardboard specifically for packaging.
Many candidates did achieve at least one mark, usually referring to the increasing demand of crude oil as a raw material linked to demand for wider variety of products. Any other reasons were often inadequately communicated. There were many responses referring to the ‘production of greenhouse gases’ with no further qualification with respect to the shift in behaviour. The second part of this question produced answers which often failed to precisely address the advantages and disadvantages of the use of plastics versus cardboard specifically for packaging.
Fusion and fission reactions are important nuclear reactions.
Curium, \({}^{240}{\rm{Cm}}\), was synthesized by bombarding thorium nuclei, \({}^{232}{\rm{Th}}\), with carbon-12 nuclei. State a balanced equation for this reaction.
Uranium-235 has a half-life of 7.038×108 years.
(i) Determine the time required for the mass of \({}^{235}{\rm{U}}\) in a sample originally containing 1.000 g of \({}^{235}{\rm{U}}\) to decrease to 0.125 g.
(ii) Outline why products of the fission of uranium-235 must be disposed of carefully.
Outline why an element such as thorium, Th, usually undergoes nuclear fission, whereas helium, He, undergoes nuclear fusion.
Markscheme
\[{}_{90}^{232}{\rm{Th}} + {}_6^{12}{\rm{C}} \to {}_{96}^{240}{\rm{Cm}} + 4{}_0^1{\rm{n}}\]
Accept \({}^{232}{\rm{Th}} + {}^{12}{\rm{C}} \to {}^{240}{\rm{Cm}} + 4{\rm{n}}\).
Accept ”4n” for “\(4{}_0^1{\rm{n}}\)” in any equation.
(i)
«3 half-lives, so» 2.11 × 109 «years»
Accept any value within range 2.11–2.13 × 109 «years».
(ii)
products are radioactive/undergo «nuclear» decay
OR
products have unstable nuclei
OR
products may be used to make «nuclear» weapons
both processes increase «nuclear» binding energy per nucleon
OR
both processes bring product closer to the maximum binding energy per nucleon «of iron-56»
OR
both processes result in more stable nuclei
Mark can be awarded to an annotated sketch of binding energy per nucleon vs A.
Examiners report
Infrared (IR) spectroscopy is widely used as a technique in analytical chemistry.
The IR spectrum, mass spectrum and \(^{\text{1}}{\text{H}}\,{\text{NMR}}\) spectrum of an unknown compound, X, of molecular formula \({{\text{C}}_{\text{3}}}{{\text{H}}_{\text{6}}}{{\text{O}}_{\text{2}}}\) are as follows.

Explain what happens at a molecular level during the absorption of IR radiation by carbon dioxide, CO2.
(i) Identify the bonds responsible for the peaks A, B and C in the IR spectrum of X.
A:
B:
C:
(ii) In the mass spectrum of X, deduce which ions the m/z values at 74, 45 and 29 correspond to.
m/z = 74:
m/z = 45:
m/z = 29:
(iii) Identify the peak at 11.73 ppm in the \(^{\text{1}}{\text{H}}\,{\text{NMR}}\) spectrum.
(iv) Deduce the structure of X.
Markscheme
change in bond length / bond stretching / asymmetric stretch;
change in bond angle / bending (of molecule);
Allow [1 max] for only stating vibrations.
induces molecular polarity/dipole moment / OWTTE;
(i) A: O–H
B: C=O
C: C–O
Award [2] for three correct, [1] for two correct.
(ii) m/z = 74: \({{\text{C}}_2}{{\text{H}}_5}{\text{COO}}{{\text{H}}^ + }\) / \({{\text{C}}_3}{{\text{H}}_6}{\text{O}}_2^ + \);
m/z = 45: \({\text{COO}}{{\text{H}}^ + }\);
m/z = 29: \({{\text{C}}_2}{\text{H}}_5^ + \);
Penalize missing + charge once only.
Do not award mark for m/z = 29: CHO+.
(iii) –COOH
Accept –OH.
(iv) \({\text{C}}{{\text{H}}_3}{\text{C}}{{\text{H}}_2}{\text{COOH}}\) / \({\text{C}}{{\text{H}}_3}{\text{C}}{{\text{H}}_2}{\text{C}}{{\text{O}}_2}{\text{H}}\);
More detailed structural formula may be given.
Examiners report
In (b) the main misconception stated by candidates was that non-polar compounds do not absorb infrared radiation. Most candidates scored a mark for vibrations, but many misunderstood the difference between symmetric and asymmetric stretching.
Part (c)(i) was well answered by the great majority of candidates; giving C–H bond instead of O–H for A was a popular incorrect answer. In (ii) the most common mistake was missing the + sign. Most candidates answered (iii) and (iv) correctly.
The greenhouse effect maintains the Earth’s average temperature at a habitable level. The components of the Earth’s atmosphere responsible for this effect are called greenhouse gases.
(a) Major greenhouse gases are water vapour and carbon dioxide. State two other greenhouse gases.
(b) Describe how greenhouse gases cause the greenhouse effect.
(c) Discuss three possible implications of global warming on world food production.
Markscheme
(a) methane / \({\text{C}}{{\text{H}}_4}\);
nitrous oxide / \({{\text{N}}_2}{\text{O}}\);
ozone / \({{\text{O}}_3}\);
chlorofluorocarbons/CFCs / specific CFC / halocarbon /
hydrochlorofluorocarbons/HCFCs;
(b) greenhouse gases / named gas(es) are transparent to/allow to pass through short(er)-wavelength / high(er)-energy radiation / UV light from Sun / OWTTE;
greenhouse gases/named gas(es) absorb long(er)-wavelength/IR radiation from Earth / OWTTE;
(part of) absorbed radiation is re-radiated to Earth / OWTTE;
(c) droughts – food production decreases;
more rainfall – food production increases / may lead to flooding so decrease in food production;
warmer climate – food production increases;
severe weather / excessive rainfall / very hot climate – food production decreases;
deserts increase in size – food production decreases;
pests/insects multiply/spread over larger areas – food production decreases;
Allow other reasonable assumptions.
No mark if the effect on food/crops/plants is not explicitly stated.
Examiners report
Whilst most candidates could identify greenhouse gases correctly, many were distracted by gases associated with acid rain such as \({\text{S}}{{\text{O}}_{\text{x}}}\) and \({\text{N}}{{\text{O}}_{\text{x}}}\), a disappointingly small percentage could correctly explain how they affected the temperature of the earth with many confusing it with ozone depletion. Many candidates managed to score some marks on the effects of global warming, though often they failed to relate the change they were discussing to food production.
Vegetable oils can be used as a source of energy.
State the structural feature of chlorophyll that enables it to absorb visible light.
Vegetable oils are too viscous for use as liquid fuels. Describe, using an equation, how a vegetable oil, such as that shown, is converted to oils with lower viscosity by reaction with methanol, CH3OH.
Markscheme
«extensive» conjugation
OR
alternating single and double bonds
ester product
glycerol AND correct balancing
Catalyst not required for equation.
Award M2 only if M1 is correct.
Examiners report
The diagrams below show a hydrogen-oxygen fuel cell with an alkaline electrolyte and a lead-acid battery (accumulator).

Discuss one advantage and one disadvantage for both fuel cells and lead-acid batteries.

Markscheme
Award [1 max] from each box – allow opposite statements:

Do not accept an advantage in one column as a disadvantage in another column.
Examiners report
Few scored all four marks in this question. Some candidates hedged their bets stating that fuel cells are expensive and lead-acid batteries are cheap. Although this is correct candidates should only use this type of comparison for either one advantage or one disadvantage.
Vegetable oils and diesel fuel have similar energy content but vegetable oils are not usually used as fuels in internal combustion engines.
Transesterification reactions allow waste cooking oils to be converted to biofuels. Identify a reagent and catalyst required for this conversion.
Reagent:
Catalyst:
Deduce the equation for the reaction that occurs assuming that the vegetable oil has the formula drawn below.
Scientists around the world conduct research into alternatives to fossil fuels. Suggest why collaboration is important.
Markscheme
Reagent:
methanol/CH3OH
OR
ethanol/C2H5OH
Do not accept just “alcohol”.
Catalyst:
strong acid
OR
strong base
Accept any strong acid such as sulfuric acid/ H2SO4 .
Accept any strong base such as sodium hydroxide/NaOH.
correct structure of ester product
formula of glycerol AND balanced equation
Do not penalize omission of equilibrium sign.
Accept use of ethanol/other alcohol as reactant with the corresponding products.
Accept full or condensed structural formulas of products.
different solutions/statistical data can be compared/combined
OR
best ideas can be shared to arrive at global/local solutions
OR
acceleration of research
OR
discoveries become available to everyone
OR
improved confidence in validity of results «if multiple scientists/research groups are involved»
OR
money/effort/time is not wasted duplicating work others have already done
Do not accept scientists simply working together to share ideas – look for a little more detail.
Accept other valid suggestions.
Examiners report
Catalytic cracking uses heterogeneous catalysts.
The initial products of the fractional distillation of oil often undergo cracking. This can be carried out in a number of ways. State the major reason for choosing each of the following techniques.
Catalytic cracking:
Thermal cracking:
Steam cracking:
Explain how these differ from homogeneous catalysts.
Identify one disadvantage of using heterogeneous catalysts.
Many of the compounds produced by cracking are used in the manufacture of addition polymers. State the essential structural feature of these compounds and explain its importance.
The polymers often have other substances added to modify their properties. One group of additives are plasticizers. State how plasticizers modify the physical properties of polyvinyl chloride and explain at the molecular level how this is achieved.
Markscheme
Catalytic cracking:
used to produce moderate length alkanes (for fuels) / lower temperature / lower energy consumption / more control of product;
Thermal cracking:
used to crack very long chain starting material;
Steam cracking:
used to produce low molar mass alkenes (for petrochemicals);
heterogeneous catalysts in a different phase to the reactants / homogeneous catalysts in the same phase as reactants;
easily poisoned / efficiency decreases over time / forms clumps / only effective on surface / require high surface area;
carbon-carbon double bond;
breaks allowing addition reaction / allows monomers/molecules to join together/polymerize;
make the polymer more flexible;
fits between/increases separation between polymer chains / allow polymer chains to slide past each other more easily / weaken intermolecular attraction;
Examiners report
Few candidates appear to have any knowledge of the different cracking techniques, though more appeared familiar with issues relating to catalysts. Quite a number of candidates were aware carbon-carbon double bonds were needed for addition polymerization, though the nature and effect of plasticizers was less well known
Few candidates appear to have any knowledge of the different cracking techniques, though more appeared familiar with issues relating to catalysts. Quite a number of candidates were aware carbon-carbon double bonds were needed for addition polymerization, though the nature and effect of plasticizers was less well known
Few candidates appear to have any knowledge of the different cracking techniques, though more appeared familiar with issues relating to catalysts. Quite a number of candidates were aware carbon-carbon double bonds were needed for addition polymerization, though the nature and effect of plasticizers was less well known
Few candidates appear to have any knowledge of the different cracking techniques, though more appeared familiar with issues relating to catalysts. Quite a number of candidates were aware carbon-carbon double bonds were needed for addition polymerization, though the nature and effect of plasticizers was less well known
Few candidates appear to have any knowledge of the different cracking techniques, though more appeared familiar with issues relating to catalysts. Quite a number of candidates were aware carbon-carbon double bonds were needed for addition polymerization, though the nature and effect of plasticizers was less well known
The combustion of fossil fuels produces large amounts of CO2, a greenhouse gas.
The diagram below illustrates a range of wavelengths in the electromagnetic spectrum.
Synthesis gas, or syngas, mainly composed of CO(g) and H2(g), is an alternative form of fuel. It can be produced by coal or biomass gasification, passing steam over the source material in a low oxygen environment.
Identify which region, A or B, corresponds to each type of radiation by completing the table.
Oceans can act as a carbon sink, removing some CO2(g) from the atmosphere.
CO2(g) \( \rightleftharpoons \) CO2(aq)
Aqueous carbon dioxide, CO2(aq), quickly reacts with ocean water in a new equilibrium reaction. Construct the equilibrium equation for this reaction including state symbols.
Describe how large amounts of CO2 could reduce the pH of the ocean using an equation to support your answer.
Suggest an equation for the production of syngas from coal.
The Fischer-Tropsch process, an indirect coal liquefaction method, converts CO(g) and H2(g) to larger molecular weight hydrocarbons and steam.
Deduce the equation for the production of octane by this process.
Suggest a reason why syngas may be considered a viable alternative to crude oil.
Markscheme
Accept “B” alone for incoming radiation from sun.
All three correct answers necessary for mark.
[1 mark]
CO2(aq) + H2O(l) \( \rightleftharpoons \) H2CO3(aq)
State symbols AND equilibrium arrow required for mark.
Accept
CO2(aq) + H2O(l) \( \rightleftharpoons \) H+(aq) + HCO3–(aq).
CO2(aq) + H2O(l) \( \rightleftharpoons \) 2H+(aq) + CO32–(aq).
[1 mark]
CO2(aq) + H2O(l) \( \rightleftharpoons \) 2H+(aq) + CO32–(aq)
OR
CO2(aq) + H2O(l) \( \rightleftharpoons \) H+(aq) + HCO3–(aq)
OR
H2CO3(aq) + H2O(l) \( \rightleftharpoons \) H3O+(aq) + HCO3–(aq)
OR
H2CO3(aq) \( \rightleftharpoons \) H+(aq) + HCO3–(aq)
OR
H2CO3(aq) + 2H2O(l) \( \rightleftharpoons \) 2H3O+(aq) + CO32–(aq)
OR
H2CO3(aq) \( \rightleftharpoons \) 2H+(aq) + CO32–(aq)
equilibrium shifts to the right causing increase in [H3O+]/[H+ ] «thereby decreasing pH»
Equilibrium sign needed in (b) (ii) but penalize missing equilibrium sign once only in b (i) and (ii).
Do not accept “CO2(aq) + H2O(l) \( \rightleftharpoons \) H2CO3(aq)” unless equation was not given in b (i).
[2 marks]
C(s) + H2O(g) → CO(g) + H2(g)
OR
3C(s) + H2O(g) + O2(g) → 3CO(g) + H2(g)
OR
4C(s) + 2H2O(g) + O2(g) → 4CO(g) + 2H2(g)
OR
5C(s) + H2O(g) + 2O2(g) → 5CO(g) + H2(g)
Accept other correctly balanced equations which produce both CO AND H2.
[1 mark]
8CO(g) + 17H2(g) → C8H18(l) + 8H2O(g)
[1 mark]
coal more plentiful than crude oil
OR
syngas can be produced from biomass/renewable source
OR
syngas can undergo liquefaction to form octanes/no need to transport crude
OR
syngas can be produced by gasification underground, using carbon
OR
capture/storage «to not release CO2 to the atmosphere»
OR
coal gasification produces other usable products/slag
[1 mark]
Examiners report
There are many sources of energy available.
State one advantage and one disadvantage for each energy source in the table.
Calculate the specific energy of hydrogen, stating its units. Refer to sections 1, 6 and 13 of the data booklet.
Hydrogen has a higher specific energy than petrol (gasoline) but is not used as a primary fuel source in cars. Discuss the disadvantages of using hydrogen.
Markscheme
Do not award marks for converse statements for advantage and disadvantage.
Points related to greenhouse gases should be counted only once for the entire question.
Biofuels:
Accept “«close to» carbon neutral”, “produce less greenhouse gases/CO2” as an advantage.
Accept “engines have to be modified if biodiesel used” as a disadvantage.
Fossil Fuels:
Accept specific pollution examples (eg, oil spills, toxic substances released when burning crude oil, etc.) as a disadvantage.
[4 marks]
«specific energy =» 142
kJ\(\,\)g–1
Accept other correct values with the correct corresponding units.
M2 can be scored independently.
[2 marks]
large volumes of hydrogen required
OR
hydrogen has lower energy density
not easily transportable «form» as it is a gas
OR
heavy containers required to carry AND compress/regulate «hydrogen»
OR
high energy/cost required to compress hydrogen to transportable liquid form
OR
atmospheric pollution may be generated during production of hydrogen
OR
hydrogen fuel cells do not work at very low temperatures
OR
highly flammable when compressed/difficult to extinguish fires
OR
leaks not easy to detect
OR
high cost of production
OR
lack of filling stations/availability to consumer «in many countries»
Accept “«hydrogen combustion contributes to» knocking in engines” OR “modified engine required” for M2.
Accept “explosive” but not “more dangerous” for M2.
[2 marks]